|
Wyjście Spis treści Wstecz Dalej
Autor artykułu |
©2026 mgr Jerzy Wałaszek
|

If you use Microchip copyrighted material solely for educational (non-profit) purposes falling under the “fair use” exception of the U.S. Copyright Act of 1976 then you do not need Microchip’s written permission. For example, Microchip’s permission is not required when using copyrighted material in: (1) an academic report, thesis, or dissertation; (2) classroom handouts or textbook; or (3) a presentation or article that is solely educational in nature (e.g., technical article published in a magazine).
https://www.microchip.com/about-us/legal-information/copyright-usage-guidelines
Poniższe wykresy ukazują typowe zachowanie się mikrokontrolera. Danych tych nie testowano podczas produkcji. Wszystkie pomiary poboru prądu dokonano przy wszystkich końcówkach we/wy skonfigurowanych jako wejścia z włączonymi wewnętrznymi opornikami podciągającymi. Jako źródło zegarowe użyto generatora sinusoidalnego z wyjściem typu rail-to-rail.
Wszystkie pomiary w trybach aktywnym i bezczynnym zostały wykonane z ustawionymi wszystkimi bitami w rejestrze PRR, co w efekcie wyłączyło powiązane z nimi moduły we/wy. Również komparator analogowy był wyłączony podczas tych pomiarów.
Pobór prądu w trybie wyłączenia zasilania (ang. Power-down mode) jest niezależny od wyboru zegara. Pobór prądu jest funkcją kilku czynników takich jak: napięcie robocze, częstotliwość pracy, obciążenie końcówek we/wy, częstotliwość przełączania końcówek we/wy. wykonywany kod oraz temperatura otoczenia. Dominującymi czynnikami są napięcie pracy i częstotliwość pracy.
Prąd pobierany z końcówek obciążonych pojemnościowo można oszacować (dla jednej końcówki) jako:
![]() gdzie: CL = obciążająca pojemność VCC = napięcie robocze f = średnia częstotliwość przełączania końcówki we/wy |
Pomiary charakterystyk są wykonywane przy częstotliwościach wyższych niż ograniczenia testowe. Nie gwarantuje się poprawnej pracy mikrokontrolera przy przekroczeniu maksymalnych częstotliwości pracy określanych przez kod zamówienia.
Różnica poboru prądu w trybie wyłączenia z działającym licznikiem czasu i z wyłączonym licznikiem czasu odzwierciedla pobór prądu przez moduł licznika zegarowego.
Rys.142 ATmega88PA: Prąd
zasilający w trybie aktywnym w funkcji niskiej częstotliwości
(0,1-1,0MHz)

Rys.143 ATmega88PA: Prąd zasilający w trybie aktywnym w funkcji
częstotliwości (1-20MHz)

Rys.144 ATmega88PA: Prąd zasilający w trybie aktywnym w funkcji
VCC (Wewnętrzny oscylator RC, 128kHz)

Rys.145 ATmega88PA: Prąd zasilający w trybie aktywnym w funkcji
VCC (Wewnętrzny oscylator RC, 1MHz)

Rys.146 ATmega88PA: Prąd zasilający w trybie aktywnym w funkcji
VCC (Wewnętrzny oscylator RC, 8MHz)

Rys.147 ATmega88PA: Prąd
zasilający w trybie bezczynnym w funkcji niskiej częstotliwości
(0,1-1,0MHz)

Rys.148 ATmega88PA: Prąd zasilający w trybie bezczynnym w
funkcji częstotliwości (1-20MHz)

Rys.149 ATmega88PA: Prąd zasilający w trybie bezczynnym w
funkcji VCC (Wewnętrzny oscylator RC, 128kHz)

Rys.150 ATmega88PA: Prąd zasilający w trybie bezczynnym w
funkcji VCC (Wewnętrzny oscylator RC, 1MHz)

Rys.151 ATmega88PA: Prąd zasilający w trybie bezczynnym w
funkcji VCC (Wewnętrzny oscylator RC, 8MHz)

| Bit w PRR | Typowe wartości prądu | ||
| VCC = 2V, F = 1MHz | VCC = 3V, F = 4MHz | VCC = 5V, F = 8MHz | |
| PRUSART0 | 3,0μA | 21,3μA | 97,9μA |
| PRTWI | 6,1μA | 45,4μA | 219,0μA |
| PRTIM2 | 5,2μA | 35,2μA | 149,5μA |
| PRTIM1 | 3,8μA | 25,6μA | 110,0μA |
| PRTIM0 | 1,5μA | 9,8μA | 39,6μA |
| PRSPI | 5,2μA | 40,0μA | 199,6μA |
| PRADC | 6,3μA | 48,7μA | 247,0μA |
| Bit w PRR | Dodatkowy pobór prądu w trybie aktywnym z zegarem zewnętrznym (Rys.142 i rys.143) | Dodatkowy pobór prądu w trybie bezczynnym z zegarem zewnętrznym (Rys.147 i rys.148) |
| PRUSART0 | 1,8% | 11,4% |
| PRTWI | 3,9% | 24,4% |
| PRTIM2 | 2,9% | 18,6% |
| PRTIM1 | 2,1% | 13,6% |
| PRTIM0 | 0,8% | 5,2% |
| PRSPI | 3,5% | 21,5% |
| PRADC | 4,2% | 26,3% |
Możliwe jest wyliczenie typowego poboru prądu na podstawie wartości w powyższych dwóch tabelkach.
Obliczyć spodziewany pobór prądu w trybie bezczynnym z włączonymi TIMER1, przetwornikiem A/C i modułem SPI przy zasilaniu VCC = 2,0V i częstotliwości F = 1MHz.
W tab.8 w trzeciej kolumnie widzimy, że potrzebujemy dodać do poboru prądu 13,6% dla TIMER1, 26,3% dla przetwornika A/C i 21,5% dla modułu SPI. Odczytując rys.147 znajdujemy, iż pobór prądu w trybie bezczynnym przy VCC = 2,0V i F = 1MHz wynosi około 0,027mA. Stąd całkowity pobór prądu w trybie bezczynnym z włączonymi TIMER1, przetwornikiem A/C i modułem SPI wynosi:
| ICC ≈ 0,027mA · (1 + 0,136 + 0,263 + 0,215) ≈ 0,043mA |
Rys.152
ATmega88PA: Prąd
zasilający w trybie wyłączenia w
funkcji VCC (Licznik zegarowy wyłączony)

Rys.153 ATmega88PA: Prąd zasilający w trybie wyłączenia w
funkcji VCC (Licznik zegarowy włączony)

Rys.154
ATmega88PA: Prąd
zasilający w trybie oszczędzania energii w
funkcji VCC (Licznik zegarowy wyłączony,
uruchomiony oscylator kwarcowy 32kHz)

Rys.155
ATmega88PA: Prąd
zasilający w trybie oszczędzania energii w
funkcji VCC (Licznik zegarowy wyłączony)

Rys.156 Prąd
opornika podciągającego końcówki we/wy w funkcji napięcia wejściowego (VCC
= 1,8V)

Rys.157 Prąd opornika podciągającego końcówki we/wy w funkcji
napięcia wejściowego (VCC = 2,7V)

Rys.158 Prąd opornika podciągającego końcówki we/wy w funkcji
napięcia wejściowego (VCC = 5V)

Rys.159 Prąd opornika podciągającego końcówki
RESET w funkcji napięcia końcówki
RESET (VCC
= 1,8V)

Rys.160 Prąd opornika podciągającego końcówki
RESET w funkcji napięcia końcówki
RESET (VCC
= 2,7V)

Rys.161 Prąd opornika podciągającego końcówki
RESET w funkcji napięcia końcówki
RESET (VCC
= 5V)

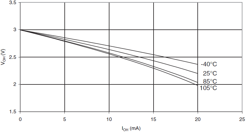
Rys.162
ATmega88PA: Napięcie wyjściowe końcówki we/wy w funkcji prądu wpływającego (VCC
= 3V)

Rys.163 ATmega88PA: Napięcie wyjściowe końcówki we/wy w
funkcji prądu wpływającego (VCC
= 5V)

Rys.164 ATmega88PA: Napięcie wyjściowe końcówki we/wy w funkcji
prądu wypływającego (VCC
= 3V)

Rys.165 ATmega88PA: Napięcie wyjściowe końcówki we/wy w
funkcji prądu wypływającego (VCC
= 5V)

Rys.166
ATmega88PA: Wejściowe napięcie progowe końcówki we/wy w funkcji VCC (VIH,
końcówka we/wy odczytywana jako 1)

Rys.167 ATmega88PA: Wejściowe napięcie progowe końcówki we/wy
w funkcji VCC (VIL, końcówka we/wy
odczytywana jako 0)

Rys.168 ATmega88PA: Histereza wejściowa końcówki we/wy w
funkcji VCC

Rys.169 ATmega88PA: Wejściowe napięcie progowe końcówki
RESET w funkcji VCC (VIH,
końcówka we/wy odczytywana jako 1)

Rys.170 ATmega88PA: Wejściowe napięcie progowe końcówki
RESET w funkcji VCC (VIL,
końcówka we/wy odczytywana jako 0)

Rys.171 ATmega88PA: Histereza wejściowa końcówki
RESET w funkcji VCC

Rys.172 ATmega88PA:
Progi BOD w funkcji temperatury (BODLEVEL wynosi 1,8V)

Rys.173 ATmega88PA:
Progi BOD w funkcji temperatury (BODLEVEL wynosi 2,7V)

Rys.174 ATmega88PA:
Progi BOD w funkcji temperatury (BODLEVEL wynosi 4,3V)

Rys.175
ATmega88PA: Kalibrowane napięcie odniesienia w funkcji temperatury

Rys.176 ATmega88PA: Napięcie odniesienia w funkcji VCC

Rys.177 ATmega88PA:
Częstotliwość oscylatora licznika zegarowego w funkcji temperatury

Rys.178 ATmega88PA: Częstotliwość oscylatora licznika
zegarowego w funkcji VCC

Rys.179 ATmega88PA: Częstotliwość kalibrowanego oscylatora RC
8MHz w funkcji VCC

Rys.180 ATmega88PA: Częstotliwość kalibrowanego oscylatora RC
8MHz w funkcji temperatury

Rys.181 ATmega88PA: Częstotliwość kalibrowanego oscylatora RC
8MHz w funkcji wartości OSCCAL

Rys.182 ATmega88PA:
Prąd przetwornika A/C w funkcji VCC (AREF = AVCC)

Rys.183 ATmega88PA: Prąd komparatora analogowego w funkcji VCC

Rys.184 ATmega88PA: Prąd zewnętrznego napięcia odniesienia AREF w funkcji VCC

Rys.185 ATmega88PA: Prąd detektora spadku napięcia zasilania
w funkcji VCC

Rys.186 ATmega88PA: Prąd programowania w funkcji VCC

Rys.187 ATmega88PA:
Prąd zasilania w czasie resetu w funkcji niskiej częstotliwości
(0,1 - 1,0MHz)

Rys.188 ATmega88PA: Prąd zasilania w czasie resetu w funkcji
częstotliwości (1 - 20MHz)

Rys.189 ATmega88PA: Minimalna szerokość impulsu resetu w
funkcji VCC

![]() |
Zespół Przedmiotowy Chemii-Fizyki-Informatyki w I Liceum Ogólnokształcącym im. Kazimierza Brodzińskiego w Tarnowie ul. Piłsudskiego 4 ©2026 mgr Jerzy Wałaszek |
Materiały tylko do użytku dydaktycznego. Ich kopiowanie i powielanie jest dozwolone pod warunkiem podania źródła oraz niepobierania za to pieniędzy.
Pytania proszę przesyłać na adres email:
Serwis wykorzystuje pliki cookies. Jeśli nie chcesz ich otrzymywać, zablokuj je w swojej przeglądarce.
Informacje dodatkowe.