|
Wyjście Spis treści Wstecz Dalej
Autor artykułu |
©2026 mgr Jerzy Wałaszek
|

If you use Microchip copyrighted material solely for educational (non-profit) purposes falling under the “fair use” exception of the U.S. Copyright Act of 1976 then you do not need Microchip’s written permission. For example, Microchip’s permission is not required when using copyrighted material in: (1) an academic report, thesis, or dissertation; (2) classroom handouts or textbook; or (3) a presentation or article that is solely educational in nature (e.g., technical article published in a magazine).
https://www.microchip.com/about-us/legal-information/copyright-usage-guidelines
Dane zebrane w tym rozdziale zostały oparte głównie na symulacjach i cechach podobnych mikrokontrolerów produkowanych takimi samymi metodami. Stąd dane te należy traktować jedynie jako wskazówki zachowania się układu.
Poniższe wykresy ukazują typowe zachowanie się mikrokontrolera. Danych tych nie testowano podczas produkcji. Wszystkie pomiary poboru prądu dokonano przy wszystkich końcówkach we/wy skonfigurowanych jako wejścia z włączonymi wewnętrznymi opornikami podciągającymi. Jako źródło zegarowe użyto generatora sinusoidalnego z wyjściem typu rail-to-rail.
Pobór prądu w trybie wyłączenia zasilania (ang. Power-down mode) jest niezależny od wyboru zegara. Pobór prądu jest funkcją kilku czynników takich jak: napięcie robocze, częstotliwość pracy, obciążenie końcówek we/wy, częstotliwość przełączania końcówek we/wy. wykonywany kod oraz temperatura otoczenia. Dominującymi czynnikami są napięcie pracy i częstotliwość pracy.
Prąd pobierany z końcówek obciążonych pojemnościowo można oszacować (dla jednej końcówki) jako:
![]() gdzie: CL = obciążająca pojemność VCC = napięcie robocze f = średnia częstotliwość przełączania końcówki we/wy |
Pomiary charakterystyk są wykonywane przy częstotliwościach wyższych niż ograniczenia testowe. Nie gwarantuje się poprawnej pracy mikrokontrolera przy przekroczeniu maksymalnych częstotliwości pracy określanych przez kod zamówienia.
Różnica poboru prądu w trybie wyłączenia z działającym licznikiem czasu i z wyłączonym licznikiem czasu odzwierciedla pobór prądu przez moduł licznika zegarowego.
Rys.1 Prąd
zasilania w trybie czynnym w funkcji częstotliwości (0,1MHz -
1,0MHz)

Rys.2 Prąd
zasilania w trybie czynnym w funkcji częstotliwości (1MHz -
20MHz)

Rys.3 Prąd
zasilania w trybie czynnym w funkcji VCC
(wewnętrzny oscylator RC, 8MHz)

Rys.4 Prąd
zasilania w trybie czynnym w funkcji VCC
(wewnętrzny oscylator RC, 4MHz)

Rys.5 Prąd
zasilania w trybie czynnym w funkcji VCC
(wewnętrzny oscylator RC, 2MHz)

Rys.6 Prąd
zasilania w trybie czynnym w funkcji VCC
(wewnętrzny oscylator RC, 1MHz)

Rys.7 Prąd
zasilania w trybie czynnym w funkcji VCC
(zewnętrzny oscylator RC 32kHz)

Rys.8 Prąd
zasilania w trybie bezczynnym w funkcji częstotliwości (0,1MHz
- 1,0MHz)

Rys.9 Prąd
zasilania w trybie bezczynnym w funkcji częstotliwości (1MHz -
20MHz)

Rys.10
Prąd zasilania w trybie bezczynnym w funkcji VCC
(wewnętrzny oscylator RC, 8MHz)

Rys.11
Prąd zasilania w trybie bezczynnym w funkcji VCC
(wewnętrzny oscylator RC, 4MHz)

Rys.12
Prąd zasilania w trybie bezczynnym w funkcji VCC
(wewnętrzny oscylator RC, 2MHz)

Rys.13
Prąd zasilania w trybie bezczynnym w funkcji VCC
(wewnętrzny oscylator RC, 1MHz)

Rys.14
Prąd zasilania w trybie bezczynnym w funkcji VCC
(zewnętrzny oscylator RC 32kHz)

Rys.15
Prąd zasilania w trybie wyłączenia w funkcji VCC
(licznik zegarowy wyłączony)

Rys.16
Prąd zasilania w trybie wyłączenia w funkcji VCC
(licznik zegarowy włączony)

Rys.17
Prąd zasilania w trybie oszczędzania energii w funkcji VCC
(licznik zegarowy wyłączony)

Rys.18
Prąd zasilania w trybie gotowości w funkcji VCC
(rezonator 455kHz, licznik zegarowy wyłączony)

Rys.19
Prąd zasilania w trybie gotowości w funkcji VCC
(rezonator 1MHz, licznik zegarowy wyłączony)

Rys.20
Prąd zasilania w trybie gotowości w funkcji VCC
(rezonator 2MHz, licznik zegarowy wyłączony)

Rys.21
Prąd zasilania w trybie gotowości w funkcji VCC
(zegar 2MHz XTAL, licznik zegarowy wyłączony)

Rys.22
Prąd zasilania w trybie gotowości w funkcji VCC
(rezonator 4MHz, licznik zegarowy wyłączony)

Rys.23
Prąd zasilania w trybie gotowości w funkcji VCC
(zegar 4MHz XTAL, licznik zegarowy wyłączony)

Rys.24
Prąd zasilania w trybie gotowości w funkcji VCC
(rezonator 6MHz, licznik zegarowy wyłączony)

Rys.25
Prąd zasilania w trybie gotowości w funkcji VCC
(zegar 6MHz XTAL, licznik zegarowy wyłączony)

Rys.26
Prąd opornika podciągającego końcówki we/wy w funkcji napięcia wejściowego
(VCC = 5V)
Rys.27
Prąd opornika podciągającego końcówki we/wy w funkcji napięcia wejściowego
(VCC = 2,7V)
Rys.28
Prąd opornika podciągającego końcówki
RESET w funkcji napięcia wejściowego
(VCC = 5V)

Rys.29
Prąd opornika podciągającego końcówki
RESET w funkcji napięcia wejściowego
(VCC = 2,7V)

Rys.30
Prąd wypływający końcówki we/wy w funkcji napięcia wyjściowego
(VCC = 5V)
Rys.31
Prąd wypływający końcówki we/wy w funkcji napięcia wyjściowego
(VCC = 2,7V)

Rys.32
Prąd wpływający końcówki we/wy w funkcji napięcia wyjściowego
(VCC = 5V)
Rys.33
Prąd wpływający końcówki we/wy w funkcji napięcia wyjściowego
(VCC = 2,7V)
Rys.34
Końcówka RESET jako końcówka
we/wy – prąd wypływający końcówki we/wy w funkcji napięcia wyjściowego
(VCC = 5V)
Rys.35
Końcówka RESET jako końcówka
we/wy – prąd wypływający końcówki we/wy w funkcji napięcia wyjściowego
(VCC = 2,7V)

Rys.36
Końcówka RESET jako końcówka
we/wy – prąd wpływający końcówki we/wy w funkcji napięcia wyjściowego
(VCC = 5V)
Rys.37
Końcówka RESET jako końcówka
we/wy – prąd wpływający końcówki we/wy w funkcji napięcia wyjściowego
(VCC = 2,7V)

Rys.38
Napięcie progowe końcówki wejściowej we/wy w funkcji napięcia zasilającego VCC
(VIH, końcówka we/wy odczytywana jako "1")
Rys.39
Napięcie progowe końcówki wejściowej we/wy w funkcji napięcia zasilającego VCC
(VIL, końcówka we/wy odczytywana jako "0")

Rys.40
Histereza wejściowa końcówki we/wy w funkcji napięcia zasilającego VCC

Rys.41
Końcówka resetu jako końcówka we/wy – wejściowe napięcie progowe w funkcji
napięcia zasilającego VCC
(VIH, końcówka we/wy odczytywana jako "1")

Rys.42
Końcówka resetu jako końcówka we/wy – wejściowe napięcie progowe w funkcji
napięcia zasilającego VCC
(VIL, końcówka we/wy odczytywana jako "0")

Rys.43
Końcówka resetu jako końcówka we/wy – Histereza końcówki w funkcji napięcia
zasilającego VCC

Rys.44
Wejściowe napięcie progowe resetu w funkcji napięcia zasilającego VCC
(VIH, końcówka resetu odczytywana jako "1")

Rys.45
Wejściowe napięcie progowe resetu w funkcji napięcia zasilającego VCC
(VIL, końcówka resetu odczytywana jako "0")

Rys.46
Wejściowa histereza końcówki resetu w funkcji napięcia zasilającego VCC

Rys.47 Progi BOD w funkcji temperatury
(poziom BOD wynosi 4,0 V)

Rys.48
Progi BOD w funkcji temperatury (poziom BOD wynosi 2,7 V)

Rys.49
Wewnętrzne napięcie odniesienia w funkcji VCC

Rys.50
Napięcie niezrównoważenia komparatora analogowego w funkcji analogowego napięcia
zasilania (VCC = 5 V)

Rys.51
Napięcie niezrównoważenia komparatora analogowego w funkcji analogowego napięcia
zasilania (VCC = 2,7 V)

Rys.52
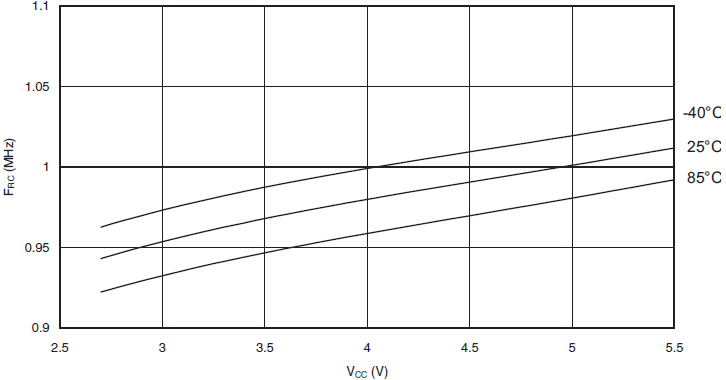
Częstotliwość oscylatora licznika zegarowego w funkcji VCC

Rys.53
Częstotliwość kalibrowanego oscylatora RC 8MHz w funkcji temperatury

Rys.54
Częstotliwość kalibrowanego oscylatora RC 8MHz w funkcji VCC

Rys.55
Częstotliwość kalibrowanego oscylatora RC 8MHz w funkcji wartości rejestru
OSCCAL

Rys.56
Częstotliwość kalibrowanego oscylatora RC 4MHz w funkcji temperatury

Rys.57
Częstotliwość kalibrowanego oscylatora RC 4MHz w funkcji VCC

Rys.58
Częstotliwość kalibrowanego oscylatora RC 4MHz w funkcji wartości rejestru
OSCCAL

Rys.59
Częstotliwość kalibrowanego oscylatora RC 2MHz w funkcji temperatury

Rys.60
Częstotliwość kalibrowanego oscylatora RC 2MHz w funkcji VCC

Rys.61
Częstotliwość kalibrowanego oscylatora RC 2MHz w funkcji wartości rejestru
OSCCAL

Rys.62
Częstotliwość kalibrowanego oscylatora RC 1MHz w funkcji temperatury

Rys.63
Częstotliwość kalibrowanego oscylatora RC 1MHz w funkcji VCC

Rys.64
Częstotliwość kalibrowanego oscylatora RC 1MHz w funkcji wartości rejestru
OSCCAL

Rys.65
Prąd modułu BOD w funkcji VCC

Rys.66
Prąd przetwornika A/C w funkcji VCC (AREF = AVCC)

Rys.67
Prąd zewnętrznego odniesienia AREF w funkcji VCC

Rys.68
Prąd TOSC 32kHz w funkcji VCC (Timer licznika zegarowego
wyłączony)

Rys.69
Prąd timera licznika zegarowego w funkcji VCC

Rys.70
Prąd komparatora analogowego w funkcji VCC

Rys.71
Prąd programowania w funkcji VCC

Rys.72
Prąd zasilania w czasie resetu w funkcji częstotliwości
(0,1MHz ... 1,0MHz, z wyłączeniem prądu opornika podciągającego resetu)

Rys.73
Prąd zasilania w czasie resetu w funkcji częstotliwości
(1MHz ... 20MHz, z wyłączeniem prądu opornika podciągającego resetu)

Rys.74
Szerokość impulsu reset w funkcji VCC

![]() |
Zespół Przedmiotowy Chemii-Fizyki-Informatyki w I Liceum Ogólnokształcącym im. Kazimierza Brodzińskiego w Tarnowie ul. Piłsudskiego 4 ©2026 mgr Jerzy Wałaszek |
Materiały tylko do użytku dydaktycznego. Ich kopiowanie i powielanie jest dozwolone pod warunkiem podania źródła oraz niepobierania za to pieniędzy.
Pytania proszę przesyłać na adres email:
Serwis wykorzystuje pliki cookies. Jeśli nie chcesz ich otrzymywać, zablokuj je w swojej przeglądarce.
Informacje dodatkowe.