|
Wyjście Spis treści Wstecz Dalej
Autor artykułu |
©2026 mgr Jerzy Wałaszek
|

If you use Microchip copyrighted material solely for educational (non-profit) purposes falling under the “fair use” exception of the U.S. Copyright Act of 1976 then you do not need Microchip’s written permission. For example, Microchip’s permission is not required when using copyrighted material in: (1) an academic report, thesis, or dissertation; (2) classroom handouts or textbook; or (3) a presentation or article that is solely educational in nature (e.g., technical article published in a magazine).
https://www.microchip.com/about-us/legal-information/copyright-usage-guidelines
Kolejne wykresy pokazują typowe zachowanie się układu. Parametry te nie są testowane podczas produkcji, gdzie testy wykonywane są z częstotliwościami wykraczającymi poza normalne granice, co nie oznacza, iż w normalnych warunkach pracy mikrokontroler również będzie pracował właściwie przy takich częstotliwościach.
Wszystkie pomiary poboru prądu są wykonywane przy konfiguracji wszystkich końcówek do pracy jako wejścia z włączonymi wewnętrznymi opornikami podciągającymi. Pobór prądu jest funkcją kilku czynników takich jak, napięcie pracy, częstotliwość robocza, obciążenie końcówek we/wy, częstotliwość przełączania poziomów logicznych na końcówkach we/wy, wykonywany kod i temperatura otoczenia. Dominującymi czynnikami są napięcie zasilania i częstotliwość pracy.
Jako źródło zegarowe używany jest generator sinusoidalny z wyjściem typu rail-to-rail (napięcie wyjściowe oscyluje pomiędzy GND a VCC), lecz bieżący pobór prądu w trybie wyłączenia zasilania (ang. Power-Down mode) jest niezależny od wyboru zegara. Różnica pomiędzy bieżącym poborem prądu w trybie wyłączenia zasilania z uruchomionym licznikiem zegarowym (ang. Watchdog Timer) oraz w tym samym trybie bez uruchomionego licznika zegarowego reprezentuje prąd różnicowy pobierany przez ten licznik.
Prąd pobierany z końcówek przy obciążeniu pojemnościowym można oszacować (dla jednej końcówki) następująco:
![]() |
| gdzie: VCC = napięcie
pracy, CL = pojemność obciążenia, fSW = średnia częstotliwość przełączania stanów logicznych na końcówce we/wy. |
Dodatkowy pobór prądu przez różne moduły we/wy (wartości bezwzględne)
| Bit PRR | Typowe wartości | ||
| PRTIM0 | 4 μA | 25 μA | 110 μA |
| PRTIM1 | 5 μA | 35 μA | 150 μA |
| PRADC | 190 μA | 260 μA | 470 μA |
| PRSPI | 3 μA | 15 μA | 75 μA |
| PRTWI | 5 μA | 35 μA | 160 μA |
Tabela poniżej może zostać wykorzystana do wyliczenia typowego poboru prądu przy innych napięciach zasilania i innych częstotliwościach niż te, dla których ułożono poprzednią tabelę.
Dodatkowy pobór prądu (procentowo) w trybach czynnym i bezczynnym
Rys. 21-1.
Prąd zasilania w trybie czynnym w funkcji niskiej częstotliwości zegara
(0,1 ... 1,0 MHz)

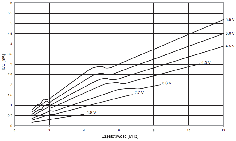
Rys. 21-2.
Prąd zasilania w trybie czynnym w funkcji częstotliwości zegara
(1 ... 12 MHz)

Rys. 21-3.
Prąd zasilania w trybie czynnym w funkcji VCC
(oscylator wewnętrzny,8 MHz)

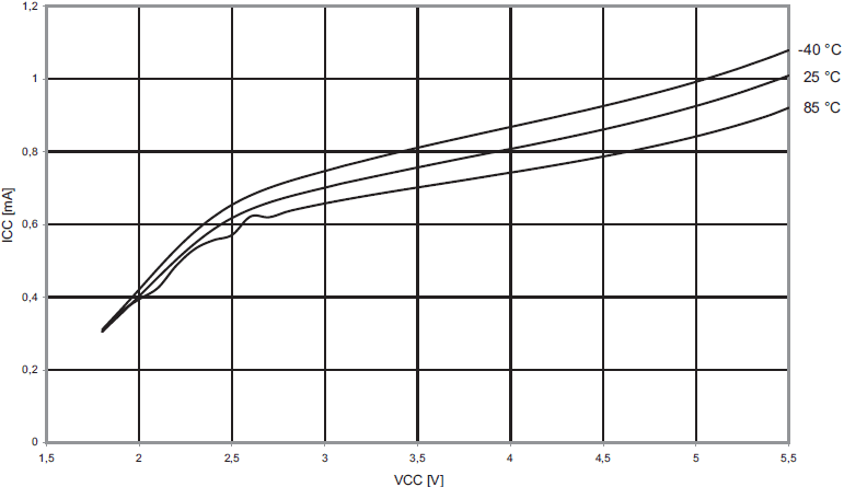
Rys. 21-4.
Prąd zasilania w trybie czynnym w funkcji VCC
(oscylator wewnętrzny,1 MHz)

Rys. 21-5.
Prąd zasilania w trybie czynnym w funkcji VCC
(oscylator wewnętrzny,128 kHz)

Rys. 21-6.
Prąd zasilania w trybie bezczynnym w funkcji niskiej częstotliwości zegara
(0,1 ... 1,0 MHz)

Rys. 21-7.
Prąd zasilania w trybie bezczynnym w funkcji częstotliwości zegara
(1 ... 12 MHz)

Rys. 21-8.
Prąd zasilania w trybie bezczynnym w funkcji VCC
(oscylator wewnętrzny,8 MHz)

Rys. 21-9.
Prąd zasilania w trybie bezczynnym w funkcji VCC
(oscylator wewnętrzny,1 MHz)

Rys. 21-10.
Prąd zasilania w trybie bezczynnym w funkcji VCC
(oscylator wewnętrzny,128 kHz)

Rys. 21-11.
Prąd zasilania w trybie wyłączenia w funkcji VCC
(licznik zegarowy wyłączony)

Rys. 21-12.
Prąd zasilania w trybie wyłączenia w funkcji VCC
(licznik zegarowy włączony)

Rys. 21-13.
Prąd w czasie resetu w funkcji VCC (z wyjątkiem
prądu płynącego przez opornik podciągający oraz bez zegara)

Rys. 21-14.
Prąd przetwornika A/C w funkcji VCC (przy clkADC
= 250kHz)

Rys. 21-15.
Prąd komparatora analogowego w funkcji VCC

Rys. 21-16.
Prąd licznika zegarowego w funkcji VCC

Rys. 21-17.
Prąd detektora spadku napięcia zasilania w funkcji VCC

Rys.
21-18. Prąd opornika podciągającego na końcówce we/wy w
funkcji napięcia wejściowego (VCC = 1,8V)

Rys. 21-19.
Prąd opornika podciągającego na końcówce we/wy w funkcji napięcia wejściowego
(VCC = 2,7V)

Rys. 21-20.
Prąd opornika podciągającego na końcówce we/wy w funkcji napięcia wejściowego
(VCC = 5V)

Rys. 21-21.
Prąd opornika podciągającego resetu w funkcji napięcia końcówki resetu
(VCC = 1,8V)

Rys. 21-22.
Prąd opornika podciągającego resetu w funkcji napięcia końcówki resetu
(VCC = 2,7V)

Rys. 21-23.
Prąd opornika podciągającego resetu w funkcji napięcia końcówki resetu
(VCC = 5V)

Rys. 21-24.
VOL: napięcie wyjściowe w funkcji prądu wpływającego do końcówki
we/wy (VCC = 1,8V)

Rys. 21-25.
VOL: napięcie wyjściowe w funkcji prądu wpływającego do końcówki
we/wy (VCC = 3V)

Rys. 21-26.
VOL: napięcie wyjściowe w funkcji prądu wpływającego do końcówki
we/wy (VCC = 5V)

Rys. 21-27.
VOH: napięcie wyjściowe w funkcji prądu wypływającego z
końcówki we/wy (VCC = 1,8V)

Rys. 21-28.
VOH: napięcie wyjściowe w funkcji prądu wypływającego z końcówki
we/wy (VCC = 3V)

Rys. 21-29.
VOH: napięcie wyjściowe w funkcji prądu wypływającego z końcówki
we/wy (VCC = 5V)

Rys. 21-30.
VOL: napięcie wyjściowe w funkcji prądu wpływającego do końcówki
RESET pracującej jako we/wy
(VCC = 1,8V)

Rys. 21-31.
VOL: napięcie wyjściowe w funkcji prądu wpływającego do końcówki
RESET pracującej jako we/wy
(VCC = 3V)

Rys. 21-32.
VOL: napięcie wyjściowe w funkcji prądu wpływającego do końcówki
RESET pracującej jako we/wy
(VCC = 5V)

Rys. 21-33.
VOH: napięcie wyjściowe w funkcji prądu wypływającego z końcówki
RESET pracującej jako we/wy
(VCC = 1,8V)

Rys. 21-34.
VOH: napięcie wyjściowe w funkcji prądu wypływającego z końcówki
RESET pracującej jako we/wy
(VCC = 3V)

Rys. 21-35.
VOH: napięcie wyjściowe w funkcji prądu wypływającego z końcówki
RESET pracującej jako we/wy
(VCC = 5V)

Rys. 21-36.VIH:
Próg napięcia wejściowego w funkcji VCC (końcówka
we/wy, odczyt jako "1")

Rys. 21-37.VIL:
Próg napięcia wejściowego w funkcji VCC (końcówka
we/wy, odczyt jako "0")

Rys. 21-38.VIH-VIL:
Histereza wejściowa w funkcji VCC (końcówka we/wy)

Rys. 21-39.VIH:
Próg napięcia wejściowego w funkcji VCC (końcówka
RESET jako we/wy, odczyt jako
"1")

Rys. 21-40.VIL:
Próg napięcia wejściowego w funkcji VCC (końcówka
RESET jako we/wy, odczyt jako
"0")

Rys. 21-41.VIH-VIL:
Histereza wejściowa w funkcji VCC (końcówka
RESET jako we/wy)

Rys. 21-42.
Próg BOD w funkcji temperatury (BODLEVEL wynosi 4,3V)

Rys. 21-43.
Próg BOD w funkcji temperatury (BODLEVEL wynosi 2,7V)

Rys. 21-44.
Próg BOD w funkcji temperatury (BODLEVEL wynosi 1,8V)

Rys. 21-45.
Napięcie odniesienia w funkcji napięcia zasilania

Rys. 21-46.
VIH: Próg napięcia wejściowego w funkcji VCC
(Końcówka RESET,
odczyt jako "1")

Rys. 21-47.
VIL: Próg napięcia wejściowego w funkcji VCC
(Końcówka RESET,
odczyt jako "0")

Rys. 21-48.
VIH-VIL: Histereza wejściowa w funkcji VCC
(Końcówka RESET)

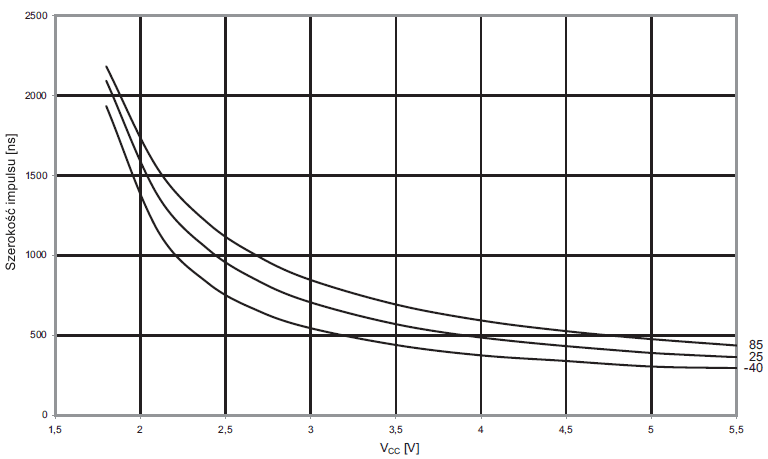
Rys. 21-49.
Minimalna szerokość impulsu resetu w funkcji VCC

Rys. 21-50.
Niezrównoważenie komparatora analogowego w funkcji napięcia wejściowego
(VCC = 5V)

Rys. 21-51.
Częstotliwość oscylatora licznika zegarowego w funkcji VCC

Rys. 21-52.
Częstotliwość oscylatora licznika zegarowego w funkcji temperatury

Rys. 21-53.
Częstotliwość oscylatora kalibrowanego w funkcji VCC

Rys. 21-54.
Częstotliwość oscylatora kalibrowanego w funkcji temperatury

Rys. 21-55.
Częstotliwość oscylatora kalibrowanego w funkcji wartości OSCCAL

![]() |
Zespół Przedmiotowy Chemii-Fizyki-Informatyki w I Liceum Ogólnokształcącym im. Kazimierza Brodzińskiego w Tarnowie ul. Piłsudskiego 4 ©2026 mgr Jerzy Wałaszek |
Materiały tylko do użytku dydaktycznego. Ich kopiowanie i powielanie jest dozwolone pod warunkiem podania źródła oraz niepobierania za to pieniędzy.
Pytania proszę przesyłać na adres email:
Serwis wykorzystuje pliki cookies. Jeśli nie chcesz ich otrzymywać, zablokuj je w swojej przeglądarce.
Informacje dodatkowe.