|
Serwis Edukacyjny Nauczycieli w I-LO w Tarnowie
|
Wyjście Spis treści Wstecz Dalej
Autor artykułu: mgr Jerzy Wałaszek |
©2026 mgr Jerzy Wałaszek
|
| SPIS TREŚCI |
Pojęcie bitu
|
| Podrozdziały |
W latach 60 ubiegłego wieku wynaleziono układy scalone (ang. integrated circuit). Są to małe elementy elektroniczne zawierające w swojej strukturze gotowe układy zbudowane z dziesiątek, setek, tysięcy lub więcej tranzystorów. Dzięki układom scalonym stała się możliwa budowa współczesnych komputerów. Nawet najprostszy komputer IBM składa się wewnętrznie z milionów tranzystorów. Bez układów scalonych budowa takiego komputera byłaby bardzo kosztowna i czasochłonna - na pewno nie byłoby nas stać na własny, domowy komputer osobisty.
Bramki cyfrowe są umieszczane w układach scalonych, które produkuje wiele różnych firm na całym świecie. Najpopularniejsze serie to obecnie TTL (bramki zbudowane z tzw. tranzystorów bipolarnych) oraz CMOS (bramki zbudowane z tranzystorów polowych).
| Parametr | TTL | CMOS |
| Zasilanie | 5V | 3...15 V |
| Poziom 0 | 0,4...0,8 V | 0 V |
| Poziom 1 | 2...5 V | VDD |
| Czas propagacji | 1,5...3 ns | 30 ns |
| Obciążalność wyjść | 10 | duża |
Układy TTL są zwykle 10 razy szybsze od układów CMOS (chociaż współczesne konstrukcje CMOS nie ustępują w szybkości układom TTL, a nawet je przewyższają). Za to układy CMOS mogą być zasilane napięciem o dużej rozpiętości oraz pobierają znikomą moc (szczególnie istotne dla urządzeń zasilanych bateryjnie).
Z zewnątrz układ scalony przypomina małą kostkę z wyprowadzonymi metalowymi końcówkami, do których doprowadzamy lub z których pobieramy sygnały elektryczne. Wewnątrz układu scalonego wyprowadzenia są połączone z małą płytką silikonową, na której w drodze skomplikowanych procesów utworzono strukturę elektroniczną złożoną z setek lub tysięcy tranzystorów i oporników.

Nóżki układu scalonego są odpowiednio numerowane. Zwróć uwagę, iż na obudowie znajduje się małe wycięcie lub mała dziurka. Układ ustawiamy nóżkami w dół, tak aby wcięcie na obudowie znalazło się po stronie lewej. Wtedy numeracja nóżek rozpoczyna się od lewego dolnego rogu i biegnie wokół układu scalonego. Poniżej przedstawiamy widok z góry układu o 14 wyprowadzeniach.

Gdy umiemy już odczytywać numery wyprowadzeń układów scalonych, możemy zdefiniować ich zawartość. Poniżej przedstawiamy definicje wyprowadzeń kilku układów cyfrowych zawierających podstawowe bramki logiczne. Są to układy TTL serii SN74xx oraz CMOS serii CD40xx. GND oznacza masę dla TTL (minus zasilania), VSS dla CMOS. VCC oznacza napięcie zasilające układ scalony TTL (+5V), VDD dla CMOS. Wiedza ta pozwala na samodzielne konstruowanie prostych urządzeń cyfrowych. Układy zestawiliśmy, tak aby w obu seriach otrzymać funkcjonalne odpowiedniki. Dlatego kolejność numeracji układów CMOS nie jest zachowana.
| Układy TTL serii SN74xx | Układy CMOS serii CD40xx |
| Brak odpowiednika TTL | CD4000 dwie 3-wejściowe bramki NOR i inwerter ![]() |
| SN7400 cztery 2-wejściowe bramki uniwersalne NAND ![]() |
CD4011 cztery 2-wejściowe bramki uniwersalne NAND ![]() |
| SN7402 cztery 2-wejściowe bramki uniwersalne NOR ![]() |
CD4001 cztery 2-wejściowe bramki uniwersalne NOR ![]() |
| SN7404 sześć inwerterów ![]() |
CD4009 sześć inwerterów ![]() |
| SN7407 sześć wzmacniaczy buforowych ![]() |
CD4010 sześć wzmacniaczy buforowych ![]() |
| SN7408 cztery 2-wejściowe bramki AND ![]() |
CD4081 cztery 2-wejściowe bramki AND ![]() |
| SN7410 trzy 3-wejściowe bramki uniwersalne NAND ![]() |
CD4023 trzy 3-wejściowe bramki uniwersalne NAND ![]() |
| SN7411 trzy 3-wejściowe bramki AND ![]() |
CD4073 trzy 3-wejściowe bramki AND ![]() |
| SN7420 dwie 4-wejściowe bramki uniwersalne NAND ![]() |
CD4012 dwie 4-wejściowe bramki uniwersalne NAND ![]() |
| SN7437 cztery 2-wejściowe bramki buforowe NAND ![]() |
Brak odpowiednika CMOS
|
| SN7440 dwie 4-wejściowe bramki buforowe NAND ![]() |
Brak odpowiednika CMOS |
| SN7421 dwie 4-wejściowe bramki AND ![]() |
CD4082 dwie 4-wejściowe bramki AND ![]() |
| Brak odpowiednika TTL | CD4002 dwie 4-wejściowe bramki uniwersalne NOR ![]() |
| Brak odpowiednika TTL | CD4072 dwie 4-wejściowe bramki OR ![]() |
| SN7427 trzy 3-wejściowe bramki uniwersalne NOR ![]() |
CD4025 trzy 3-wejściowe bramki uniwersalne NOR ![]() |
| Brak odpowiednika TTL | CD4075 trzy 3-wejściowe bramki OR ![]() |
| SN7430 jedna 8-wejściowa bramka uniwersalna NAND ![]() |
CD4068 jedna 8-wejściowa bramka uniwersalna NAND ![]() |
| Brak odpowiednika TTL | CD4078 jedna 8-wejściowa bramka uniwersalna NOR ![]() |
| SN7432 cztery 2-wejściowe bramki OR ![]() |
CD4071 cztery 2-wejściowe bramki OR ![]() |
| SN7486 cztery 2-wejściowe bramki EX-OR ![]() |
CD4070 cztery 2-wejściowe bramki EX-OR ![]() |
| Brak odpowiednika TTL | CD4077 cztery 2-wejściowe bramki EX-NOR ![]() |
Więcej na ten temat znajdziesz w osobnym artykule "Układy cyfrowe".
Do jednego wyjścia bramki można podłączyć kilka wejść innych bramek. Musimy tylko pamiętać, aby nie przekroczyć obciążalności wyjścia bramki. Typowe wyjście bramki TTL może wysterować około 10 wejść innych bramek. Do bramek CMOS reguła ta się nie odnosi, ponieważ pobierają one bardzo mały prąd wejściowy - mówimy, iż posiadają dużą oporność wejściową.
Nieużywane wejścia bramek należy podłączyć poprzez opornik 1 kΩ (jeśli możemy zagwarantować, iż napięcie VCC nie przekroczy 5,5 V, to wejście można połączyć bezpośrednio) do zasilania +5 V (bramki AND i NAND) lub bezpośrednio do masy (bramki OR i NOR). Nie wolno pozostawiać wejścia "wiszącego", ponieważ powoduje to pogorszenie warunków pracy bramki (zwiększa się czas propagacji oraz zmniejsza się odporność na zakłócenia) i w konsekwencji może powodować błędy w działaniu urządzenia cyfrowego.

Nie wolno łączyć ze sobą wyjść bramek (za wyjątkiem specjalnych bramek z wyjściami typu otwarty kolektor lub otwarty dren, które są specjalnie zaprojektowane do takiej właśnie pracy), gdyż prowadzi to do zwarcia i w konsekwencji może uszkodzić układ cyfrowy.
Dioda LED (ang. Light Emitting Diode) jest elementem elektronicznym, który przewodzi prąd tylko w jednym kierunku. Gdy prąd płynie przez diodę LED, emituje ona światło. Kolor świecenia zależy od materiału użytego do konstrukcji diody.
Diody LED bardzo często wykorzystywane są w technice cyfrowej jako różnego rodzaju wskaźniki i oświetlenie - np. zegary wyświetlają przy ich pomocy cyfry czasu i daty, telefony komórkowe używają ich do podświetlania swoich ekranów i klawiatur.
Co powinniśmy wiedzieć o diodzie LED?

Zwykle diody o średnicy 5 mm (najbardziej popularne cenowo) pobierają prąd IF = 20 mA. Jeśli chcemy uzyskać niezawodność świecenia, to obniżamy ten prąd do 15 mA (tyle może na wyjściu dostarczyć standardowa bramka TTL). Napięcie UF określamy z poniższej tabelki:
| Rodzaj diody LED | Napięcie UF | Prąd IF |
| zwykłe, czerwone | 1,7 V | 15 mA |
| jasne, czerwone wysokowydajne, czerwone niskoprądowe, czerwone |
1,9 V | 15 mA |
| pomarańczowe i żółte | 2,0 V | 15 mA |
| zielone | 2,1 V | 15 mA |
| jasne, białe jasne, zielone bez żółtozielonego niebieskie zwykłe |
3,4 V | 12 mA |
| jasne, niebieskie | 4,6 V | 10 mA |
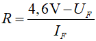
Do naszych celów najlepsze będą diody o UF = 1,7 V ... 2,1 V. Diody o wyższym napięciu wymagają tranzystora sterującego, który zapewni im odpowiednie warunki zasilania. Diodę LED można podłączyć do wyjścia bramki TTL na dwa sposoby. W obu przypadkach należy odpowiednio dobrać opór ograniczający napięcie i prąd diody LED. Poniżej przedstawiamy odpowiednie wzory obliczeniowe:
| Dioda świeci przy stanie wysokim
|
Dioda świeci przy stanie niskim
|
![]() |
![]() |
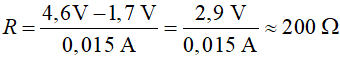
| Dla diody czerwonej o UF = 1,7 V i IF = 0,015 A otrzymamy: | |
![]() |
![]() |
Dla wersji pierwszej napięcie 3,5 V jest napięciem wyjściowym bramki TTL w stanie wysokim. Napięcie to rozkłada się na opornik R oraz diodę LED. Gdy odejmiemy od niego napięcie UF diody LED, to pozostanie napięcie na oporniku R. Dzieląc to napięcie przez pożądany prąd IF otrzymujemy wartość opornika R, którą należy w tym układzie zastosować.
Dla wersji drugiej jest podobnie. Napięcie 4,6 V jest napięciem zasilania pomniejszonym o napięcie 0,4 V, które pojawia się na wyjściu bramki w stanie niskim.
Powyższe dwa układy można połączyć w jeden - dioda LED1 będzie świeciła w stanie niskim, a dioda LED2 będzie świeciła w stanie wysokim.

Dobierając oporniki pamiętaj, iż w sprzedaży są wartości tworzące następujące szeregi:
| E3 | 50% | 10, 22, 47 |
| E6 | 20% | 10, 15, 22, 33, 47, 68 |
| E12 | 10% | 10, 12, 15, 18, 22, 27, 33, 39, 47, 56, 68, 82 |
| E24 | 5% | 10, 11, 12, 13, 15, 16, 18, 20, 22, 24, 27, 30, 33, 36, 39, 43, 47, 51, 56, 62, 68, 75, 82, 91 |
Wartości w szeregach mogą być mnożone przez potęgi liczby 10. W ten sposób otrzymujemy np. 33 × 1000 = 33 kΩ. To dlatego w drugim przykładzie zaokrągliłem wynik 193,333... do najbliższej, dostępnej wartości 200 Ω (szereg E24, wartość 20 × 10). To małe oszustwo nie wpłynie w sposób istotny na działanie opisywanego układu.
Więcej na ten temat znajdziesz w osobnym artykule "Technika cyfrowa".
Jeśli zainteresował cię temat konstruowania układów cyfrowych, to wiele pieniędzy zaoszczędzisz zaopatrzywszy się w odpowiedni program symulacyjny. Godnym polecenia jest Electronic Workbench. Jest to wszechstronny symulator obwodów elektronicznych, w tym również cyfrowych. Zanim zbudujemy dany układ, możemy go przetestować na symulatorze, wyłapując różne błędy. Dzięki Electronic Workbench możesz posiadać swoje własne laboratorium elektroniczne.
Istnieją również różne symulatory obwodów elektronicznych dostępne poprzez przeglądarkę internetową:
W dalszej części artykułu przedstawimy również symulację sieci logicznych w języku C++.
![]() |
Zespół Przedmiotowy Chemii-Fizyki-Informatyki w I Liceum Ogólnokształcącym im. Kazimierza Brodzińskiego w Tarnowie ul. Piłsudskiego 4 ©2026 mgr Jerzy Wałaszek |
Materiały tylko do użytku dydaktycznego. Ich kopiowanie i powielanie jest dozwolone pod warunkiem podania źródła oraz niepobierania za to pieniędzy.
Pytania proszę przesyłać na adres email:
Serwis wykorzystuje pliki cookies. Jeśli nie chcesz ich otrzymywać, zablokuj je w swojej przeglądarce.
Informacje dodatkowe.