|
Wyjście Spis treści Wstecz Dalej
Autor artykułu |
©2026 mgr Jerzy Wałaszek
|
W poprzednim rozdziale napisałem, że człowiek, jak dotąd, nie zna istoty elektryczności. Nasza wiedza opiera się na obserwacji faktów oraz próbach dopasowania do nich odpowiedniego modelu matematycznego, który nazywamy teorią. W średniowieczu kłócono się o prawdy absolutne opisujące przyrodę. Dzisiaj żaden naukowiec już tego nie robi. Teoria fizyczna nie jest prawdą, lecz opisem, modelem matematycznym. Jeśli ktoś znajdzie lepszy opis, lepiej pasujący do obserwowanych zjawisk przyrody, to zostaje on przyjęty za nową teorię. Przykładem są tutaj teorie grawitacji Newtona oraz Einsteina. Pierwsza pozwoliła zrozumieć budowę naszego układu słonecznego, dlaczego planety krążą wokół Słońca, opisała siły grawitacyjne i ich wpływ na ruchy ciał, powiązała grawitację ciał niebieskich z przyciąganiem Ziemi, itd. Zwróć uwagę, że Newton nie wytłumaczył tego, czym jest w swojej istocie grawitacja. On ją tylko zmodelował za pomocą swoich równań. Później ludzie zaczęli obserwować nowe zjawiska, których teoria Newtona nie potrafiła wyjaśnić. Dlatego Einstein rozszerzył ją tworząc lepszy model wszechświata. Dla małych prędkości teoria Einsteina jest równoważna teorii Newtona. Jednak dla dużych różni się istotnie i pozwala wyciągnąć zupełnie inne wnioski. Być może ludzie znów odkryją zjawiska, których teoria (model) Einsteina nie tłumaczy dobrze i powstanie z tego nowa teoria.
Zatem nie wnikając w samą naturę zjawisk, człowiek potrafi je opisywać za pomocą modelu matematycznego. Tak samo jest z elektrycznością. W wyniku setek tysięcy obserwacji i pomiarów określono prawa, które obowiązują w tej dziedzinie wiedzy. Ponieważ prawa te dobrze opisują rzeczywistość, używa się ich do rozstrzygania wyników zjawisk elektrycznych. I dlatego ty też musisz je znać i umieć stosować.
Pierwszym poznanym prawem elektryczności było prawo Coulomba:

Określa ono siłę oddziaływania elektrostatycznego pomiędzy dwoma ładunkami Q1 i Q2, które znajdują się względem siebie w odległości r. Jak każde prawo, jest ono prawdziwe przy pewnych założeniach: ładunki muszą być punktowe. Inaczej należy uwzględniać rozkład ładunków na powierzchni ciała, a to znacznie komplikuje rachunki i wymaga stosowania całek. Nie będziemy jednak rozważać aż tak skomplikowanych przypadków. Faktem jest, że prawo Coulomba wprowadza pewien model matematyczny i opisuje pewne zjawisko elektryczne: na ładunki umieszczone w polu elektrycznym działają siły i potrafimy te siły wyznaczać. Współczynnik k, który widnieje we wzorze jest współczynnikiem proporcjonalności. Dzięki niemu możemy postawić znak równości. Współczynnik k zależy od własności środowiska, w którym zostało utworzone pole elektryczne. Okazuje się, że różne materiały posiadają różne wartości współczynnika k. Definiujemy go jako:
![]() |
| εr – przenikalność względna ośrodka ε0 – przenikalność względna próżni |
Przenikalność elektryczna określa "przenikanie" pola przez ośrodek. Zwykle przenikalność ośrodka określa się jako iloczyn przenikalności względnej i przenikalności próżni.
Jeśli ładunek Q jest punktowy, to można dla niego określić potencjał w każdym punkcie przestrzeni wg prostego wzoru:

Napięcie elektryczne pomiędzy dwoma punktami A i B pola elektrycznego określamy jako różnicę potencjałów w tych punktach:

Skoro na ładunki w polu elektrycznym działają siły, to zgodnie z prawami mechaniki Newtona, jeśli ładunek posiada swobodę ruchu, to zacznie się poruszać wzdłuż linii działania siły. Taki uporządkowany ruch ładunków w polu elektrycznym nazywamy prądem elektrycznym, którego natężenie średnie obliczamy ze wzoru:
![]() |
|
Q – całkowity ładunek elektryczny t – czas przepływu tego ładunku |
a natężenie prądu w chwili t obliczamy ze wzoru:

Prąd w zamkniętym obwodzie elektrycznym płynie trwale pod wpływem napięcia. Wynika z tego, że w obwodzie musi się znaleźć siła elektromotoryczna SEM. Bez niej popłynie jedynie chwilowy prąd do momentu, aż ładunki się równomiernie rozpłyną i zniwelują ewentualne różnice potencjałów.
Niemiecki fizyk Georg Ohm badał zjawisko przepływu prądu przez różne przewodniki. Stwierdził, że dla wielu materiałów przepływający przez nie prąd jest proporcjonalny do przyłożonego napięcia. Jest to prawo Ohma.
![]() ![]() |
|
U – napięcie przyłożone do końców
przewodnika I – prąd płynący przez przewodnik R – oporność przewodnika |
Współczynnik proporcjonalności R pomiędzy napięciem a prądem nazwany został opornością, oporem lub rezystancją elektryczną (ang. electric resistance). Zwykle prawo Ohma zapisuje się w następującej postaci:

Jednostką oporności elektrycznej na cześć niemieckiego fizyka został om, pisany dużą literą grecką Ω:

Dany przewodnik ma opór 1Ω, jeśli po przyłożeniu do niego napięcia 1V popłynie prąd o natężeniu 1A. W praktyce używamy często jednostek większych:
| Kiloom: 1kΩ = 1000Ω Megaom: 1MΩ = 1000kΩ = 1000000Ω |
Większy opór skutkuje mniejszym prądem przy tym samym napięciu.
Jeśli oporność przewodnika nie zależy od wartości przyłożonego napięcia, to mówimy, że dany przewodnik jest omowy (czyli że spełnia prawo Ohma). W praktyce elektronika spotkasz wiele materiałów, które tego prawa nie spełniają.
Przewodniki posiadające opór będziemy nazywali opornikami lub rezystorami (ang. resistors). Na schematach elektronicznych (rysunkach przedstawiających połączenia pomiędzy poszczególnymi elementami urządzenia oraz parametry tych elementów) oporniki przedstawia się za pomocą małego prostokąta (w systemie europejskim, w systemie amerykańskim oporniki przedstawia się inaczej):

Oporniki są standardowymi elementami elektronicznymi i spotyka się je praktycznie w każdym urządzeniu elektronicznym. Wyglądają następująco (więcej na temat oporników znajdziesz w rozdziale o elementach elektronicznych):

Niemiecki fizyk, Gustaw Kirchhoff, sformułował dwa bardzo istotne prawa elektryczności, które pozwalają rozwiązywać zagadnienia związane z sieciami elektrycznymi. Pierwsze z nich mówi, że ładunek nie znika, ani nie pojawia się znikąd.
Załóżmy, że w pewnej sieci elektrycznej mamy węzeł, do którego podłączone jest 5 przewodów. Przewodami tymi płyną prądy. Prądy wpływające do węzła oznaczmy kolorem czerwonym. Prądy wypływające z węzła oznaczmy kolorem zielonym.

Suma prądów wpływających do węzła jest równa sumie prądów wypływających z tego węzła.

Prądy wpływające oznacza się zwyczajowo jako dodatnie (donoszą ładunki), a prądy wypływające jako ujemne (unoszą ładunki). Przy takiej konwencji możemy zapisać:

A uogólniając na dowolną liczbę prądów wpływających i wypływających z węzła sieci, otrzymujemy wzór dla pierwszego prawa Kirchhoffa:

Czyli ostatecznie: suma prądów wpływających i wypływających z węzła jest równa zero, przy czym prądy wpływające są dodatnie, a wypływające ujemne.
Jeśli przez opornik R przepływa prąd o natężeniu I, to zgodnie z prawem Ohma na oporniku powstaje tzw. spadek napięcia U:

Spadek napięcia ma zawsze zwrot przeciwny do zwrotu prądu przepływającego przez element.
Drugie prawo Kirchhoffa odnosi się do dowolnego obwodu zamkniętego w sieci elektrycznej. Obwód taki nazywamy oczkiem sieci:

W oczku obieramy dowolny kierunek obiegu, np. zgodny z kierunkiem ruchu wskazówek zegara. Wg tego kierunku przebiegamy przez wszystkie gałęzie oczka. Napotkane w gałęziach siły elektromotoryczne oraz spadki napięć zgodne z wybranym kierunkiem obiegu przyjmujemy jako dodatnie, a niezgodne jako ujemne. Spadki napięć mają kierunki przeciwne do kierunku prądu przepływającego przez gałąź.
Suma tak określonych sił elektromotorycznych oraz spadków napięć w zamkniętym oczku dowolnej sieci jest równa 0:

Dla naszego przykładu otrzymujemy:

Prawo Ohma oraz prawa Kirchhoffa mają zastosowanie przy rozwiązywaniu sieci elektrycznych. Pozwalają one wyznaczyć spadki napięć oraz prądy płynące w gałęziach dowolnej sieci elektrycznej. Dla przykładu policzymy oporność wypadkową połączenia szeregowego i równoległego oporników.

Obwód tworzą dwa oporniki R1 i R2 połączone szeregowo oraz SEM E przyłączona do zacisków A i B. W obwodzie płynie prąd I. Załóżmy, że znamy wartości obu oporników. Naszym zadaniem jest znalezienie wartości oporności opornika R, który wstawiony do tego obwodu zamiast R1 i R2 wywoła przepływ tego samego prądu I. O takiej oporności mówimy, że jest opornością zastępczą.
Obwód tworzy zamknięte oczko, zatem obowiązuje w nim II prawo Kirchhoffa. Przyjmujemy kierunek obiegu gałęzi oczka zgodny z ruchem wskazówek zegara. Na opornikach powstają spadki napięć:

Zgodnie z II prawem Kirchhoffa zapisujemy dla obwodu podstawowego:

W obwodzie zastępczym spadek napięcia U jest równy E (ponieważ ich suma zgodnie z II prawem Kirchhoffa musi wynosić 0):

Wykorzystując obwód zastępczy, mamy:

Otrzymaliśmy wynik: jeżeli zastąpimy oporniki R1 i R2 opornikiem R o oporności równej sumie tych oporników, to w obwodzie popłynie ten sam prąd. Zatem dla połączenia szeregowego oporników oporność zastępcza wyraża się wzorem:

Dla n oporników połączonych szeregowo oporność zastępcza jest sumą wszystkich oporności:


Obwód składa się z dwóch oporników R1 i R2 połączonych równolegle oraz z SEM E, pod wpływem której płynie prąd I. Prąd I rozdziela się na dwa prądy I1 oraz I2, które płyną przez gałęzie z opornikami. Naszym zadaniem jest znaleźć taką rezystancję R, która wstawiona do obwodu w miejsce oporników R1 i R2 wywoła ten sam prąd I.
Wykorzystujemy I prawo Kirchhoffa i zapisujemy:

Prąd I1 płynie przez opornik R1 i zgodnie z prawem Ohma wywołuje na tym oporniku spadek napięcia U, który musi być równy E wg II prawa Kirchhoffa.

Podobnie dla drugiej gałęzi:

Z kolei w drugim obwodzie zachodzi:

Możemy zatem zapisać:

Otrzymaliśmy wynik: odwrotność oporności zastępczej w połączeniu równoległym oporników jest sumą odwrotności ich oporności. Wynik ten można uogólnić na n oporników połączonych równolegle:

Wyprowadzone wzory na oporności zastępcze pozwalają obliczać oporność złożonych układów oporników. Dla przykładu obliczymy oporność zastępczą następującego układu oporników:

Wykonujemy kolejne uproszczenia, zastępując oporniki ich oporem zastępczym.
![]() ![]() ![]() ![]() ![]() ![]() |
Teraz zastępujemy oporności zastępcze opornościami wejściowymi:

i ostatecznie:

Dla wprawy oblicz oporność zastępczą poniższych układów oporników:
![]() |
![]() |
![]() |
Za pomocą prawa Ohma oraz praw Kirchhoffa można rozwiązywać sieci elektryczne zbudowane z oporników oraz SEM. Rozwiązanie polega na wyznaczeniu wartości oraz zwrotów wszystkich napięć i prądów płynących w gałęziach sieci. Oto przykładowa sieć, w której znane są wartości oporów oraz SEM:

Naszym zadaniem jest wyliczenie wszystkich prądów oraz spadków napięć na poszczególnych opornikach. Obieramy kierunek obiegu gałęzi w oczkach zgodny z ruchem wskazówek zegara:

W gałęziach wybieramy dowolnie kierunki płynięcia prądów – jeśli się pomylimy i prąd będzie faktycznie płynął odwrotnie, to rachunek da dla niego wartość ujemną, zatem na początku nie musimy się tym przejmować:

Na koniec oznaczamy spadki napięć i siły elektromotoryczne. Zwroty spadków napięć są odwrotne do kierunku prądu przepływającego przez element, na którym dany spadek napięcia występuje:

Wypiszmy równania na spadki napięć na poszczególnych opornikach:

Teraz wypisujemy równania z I i II prawa Kirchhoffa:

Otrzymujemy układ 3 równań liniowych. Spadki napięć zastępujemy wzorami z prawa Ohma:

Upraszczamy:

W równaniach są trzy niewiadome prądy: I1, I2 i I3. Z pierwszego równania wyznaczamy I3 i wstawiamy wynik do równania drugiego i trzeciego:

Z drugiego równania wyliczamy I1:

i wstawiamy do równania 3:

Wyliczoną wartość prądu I2 wstawiamy do wzoru na I1:

Prąd I3 otrzymamy z pierwszego równania:

Wzory można nieco uprościć wprowadzając dwie oporności zastępcze:
![]() ![]() ![]() ![]() |
Gdy mamy wyliczone prądy, obliczamy spadki napięć mnożąc prądy przez oporności oporników, przez które przepływają. Jeśli prąd lub spadek napięcia wyjdzie nam ujemny, to znaczy, że ma on zwrot przeciwny do przyjętego na początku obliczeń. Należy go odwrócić i już będzie dobrze. Sieć jest rozwiązana. Rachunki nie należą do przyjemnych. Na szczęście istnieją programy, które tego typu problemy potrafią rozwiązać automatycznie bez udziału użytkownika. Nie przerażaj się – rzadko pojawi się potrzeba wykonywania tak żmudnych obliczeń. To był tylko przykład pokazujący użyteczność poznanych praw.

Przy szeregowym połączeniu oporników w obwodzie płynie ten sam prąd I przez wszystkie oporniki. Wartość prądu wyznaczymy z prawa Ohma:

Przepływając przez oporniki, prąd wywołuje na nich spadki napięć:

Zgodnie z II prawem Kirchhoffa, suma tych spadków napięć jest równa napięciu zasilającemu:

Własność tę wykorzystuje się często w oporowych dzielnikach napięcia. Np. aby otrzymać połówkę napięcia zasilającego, należy użyć dzielnika zbudowanego z dwóch takich samych oporników:

Musisz jednak zdawać sobie sprawę, że podział uzyskany w dzielniku oporowym jest silnie uzależniony od obciążenia. Jeśli do zacisków wyjściowych dołączymy opór 10k (10 kiloomów), to napięcie wyjściowe nieco spadnie:

Aby wyznaczyć napięcie UWY, dokonujemy odpowiednich transformacji:


Gdy mamy oporność zastępczą całego układu oporników, obliczamy prąd płynący w obwodzie:

Mając prąd, wyznaczamy spadek napięcia na oporności zastępczej RZ. Spadek ten jest równy napięciu wyjściowemu z dzielnika przy obciążeniu 10k:

Widać wyraźnie, że napięcie wyjściowe spadło z 2,5V na 2,36V, czyli o około 0,14V.

Przy połączeniu równoległym oporników na wszystkich opornikach występuje to samo napięcie U. Przez każdy opornik przepływa prąd zgodnie z prawem Ohma:

Prąd pobierany przez obwód jest sumą prądów w poszczególnych gałęziach, co wynika z I prawa Kirchhoffa:

W poprzednim rozdziale napisałem, że napięcie elektryczne pomiędzy dwoma punktami A i B jest stosunkiem pracy W, którą należy wykonać, aby przemieścić ładunek Q z punktu A do punktu B, do wartości tego ładunku:

Z kolei ładunek powstaje przez przepływ prądu w czasie:

Łącząc te dwa wzory, otrzymamy:

Wzór ten jest prawdziwy dla prądu i napięcia średniego lub gdy obie te wielkości są niezmienne w czasie. Inaczej pracę należy liczyć za pomocą odpowiedniej całki:

Jednostką pracy elektrycznej jest, podobnie jak w mechanice, dżul:

Jeśli prąd przepływa przez opornik R, to nad tym opornikiem zostanie wykonana praca:

Ze wzorów wynika, że praca rośnie proporcjonalnie do kwadratu prądu lub do kwadratu napięcia. Wykonana praca zamieni się w ciepło, które rozgrzeje opornik. Projektując urządzenie elektroniczne, należy zwracać na to uwagę, ponieważ źle dobrany element może ulec spaleniu przy zbyt dużym obciążeniu prądem.
Moc jest to stosunek pracy do czasu jej wykonania:

Jednostką mocy jest wat:

Podane powyżej wzory są prawdziwe dla mocy średniej lub przy stałym napięciu i stałym prądzie. Jeśli praca jest funkcją zmienną w czasie, to moc elektryczna jest pierwszą pochodną pracy po czasie:

Takie podejście pozwala policzyć moc w dowolnym punkcie czasu, jeśli tylko potrafimy określić pracę (opór + napięcie lub opór + prąd) w funkcji czasu.
Przepływ ładunków w ośrodku zwykle napotyka na różne przeszkody (w metalach jest to oddziaływanie sieci krystalicznej, w elektrolitach i gazach są to zderzenia z innymi cząstkami). Wszystko to powoduje, że przy danym napięciu tylko określona liczba ładunków przepływa przez obwód. Jeśli materiał spełnia prawo Ohma i jest jednorodny, to można dla niego określić wzór na oporność w zależności od wymiarów (muszą być stałe):
![]()
|
Opór właściwy (ang. electric resistivity) jest własnością charakterystyczną różnych materiałów. W poniższej tabelce zebrano opory właściwe niektórych materiałów (im opór właściwy mniejszy tym lepiej dany materiał przewodzi prąd elektryczny):
| Materiał | Opór właściwy [Ω·m] |
| srebro | 1,59·10−8 |
| miedź | 1,72·10−8 |
| złoto | 2,44·10−8 |
| aluminium | 2,82·10−8 |
| wolfram | 5,60·10−8 |
| nikiel | 6,99·10−8 |
| żelazo | 10·10−8 |
| cyna | 10,9·10−8 |
| platyna | 11·10−8 |
| ołów | 22·10−8 |
| nichrom | 150·10−8 |
| węgiel | 3,5·10−5 |
| german | 0,46 |
| krzem | 640 |
| szkło | 1010...1014 |
| guma | około 1013 |
| siarka | 1015 |
Ze względu na opór właściwy przyjęto umowny podział materiałów na trzy grupy:
Prąd najlepiej przewodzi srebro. Drugim najlepszym przewodnikiem jest miedź, która jest znacznie tańsza od srebra i dlatego stosuje się ją powszechnie w elektronice. Złoto nie jest specjalnie dobrym przewodnikiem, lecz ze względu na jego odporność na utlenianie (czyli na niekorzystne czynniki środowiska) stosuje się je do pokrywania styków w urządzeniach elektronicznych.
Przykład:
Obliczyć oporność 1km okrągłego przewodu miedzianego o średnicy 2mm.
Ujednolicamy jednostki:

Liczymy pole przekroju poprzecznego przewodu:

Dla miedzi oporność właściwa wynosi: 1,72·10−8Ω·m. Mamy wszystkie dane, liczymy:

Idealne ogniwo elektryczne posiada tylko SEM. Przy zwarciu (zamknięciu obwodu opornością 0 omów) ogniwa płynie nieskończenie duży prąd:
![]() |
![]() |
W rzeczywistości sytuacja taka nie ma miejsca, ponieważ ogniwa posiadają tzw. oporność wewnętrzną (ang. internal resistance) oznaczaną symbolem Rw. Przyjmuje się, że jest to opór szeregowy z SEM ogniwa:

Oporność wewnętrzna ogranicza prąd zwarciowy:
![]() |
![]() |
Przykład:
Obliczyć prąd zwarcia ogniwa o SEM = 1,6V i Rw = 0,4Ω.

Oporność wewnętrzna powoduje również spadek napięcia wyjściowego ogniwa wraz ze wzrostem prądu, ponieważ zgodnie z II prawem Kirchhoffa od napięcia SEM odejmuje się spadek napięcia na oporności wewnętrznej:
![]() |
![]() |
Przykład:
Obliczyć napięcie wyjściowe ogniwa o SEM = 1,6V i Rw = 0,4Ω. przy oporności obciążenia R = 1,2Ω.
Obliczamy natężenie prądu płynącego przez obwód:

Mając prąd, obliczamy spadek napięcia na odbiorniku, który będzie równy napięciu wyjściowemu ogniwa:

Ten sam wynik otrzymamy odejmując od SEM spadek napięcia na oporności wewnętrznej:

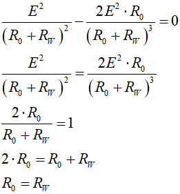
Zbadajmy, przy jakim obciążeniu R z danej SEM można pobierać największą moc elektryczną. W tym celu zapiszmy:

Znajdziemy maksimum mocy P w funkcji oporu R. Najpierw znajdujemy pierwszą pochodną:

Teraz znajdujemy R0, dla którego pierwsza pochodna przyjmuje wartość 0. Wbrew pozorom jest to bardzo łatwe:

W punkcie tym funkcja mocy P(R) przyjmuje maksimum, ponieważ:

Wynika z tych rachunków, że największa moc będzie pobierana ze źródła wtedy, gdy oporność odbiornika będzie równa oporności wewnętrznej źródła. Nazywamy to dopasowaniem obciążenia.
![]()
|
![]()
|
![]()
|
![]()
|
![]()
|
![]()
|
![]()
|
|
![]() |
Zespół Przedmiotowy Chemii-Fizyki-Informatyki w I Liceum Ogólnokształcącym im. Kazimierza Brodzińskiego w Tarnowie ul. Piłsudskiego 4 ©2026 mgr Jerzy Wałaszek |
Materiały tylko do użytku dydaktycznego. Ich kopiowanie i powielanie jest dozwolone pod warunkiem podania źródła oraz niepobierania za to pieniędzy.
Pytania proszę przesyłać na adres email:
Serwis wykorzystuje pliki cookies. Jeśli nie chcesz ich otrzymywać, zablokuj je w swojej przeglądarce.
Informacje dodatkowe.