Serwis Edukacyjny
Nauczycieli
w I-LO w Tarnowie

Do strony głównej I LO w Tarnowie

Materiały dla uczniów liceum

  Wyjście       Spis treści       Wstecz       Dalej  

©2026 mgr Jerzy Wałaszek

obrazek

Mechanika ciał Układu Słonecznego

część pierwsza

Autor artykułu: mgr Tadeusz Sypek

 

 

Zaćmienia
zakrycia

Zadanie nr 17
Zadanie nr 18
Zadanie nr 19
Zadanie nr 20
Zadanie nr 21

 

Zadanie nr 17

Podczas obserwacji jednego z zakryć Jowisza przez Księżyc obserwator odnotował czas pomiędzy I i II kontaktem, wynoszący 56 sekund. Przez I kontakt rozumiemy pierwsze zetknięcie obu tarcz, przez II kontakt - koniec widoczności tarczy planety. Współrzędne równikowe (rektascensja, deklinacja) Księżyca dla miejsca obserwacji pół godziny przed I kontaktem (a1, δ1) i pół godziny po I kontakcie (a2, δ2) były następujące:

Przyjmując upraszczająco, że zakrycie było centralne, oblicz odległość Jowisza od Ziemi. Promień równikowy Jowisza rJ = 7,14 · 107[m].

[XLV OA I ETAP]

W celu ujednolicenia jednostek przygotowujemy:

Rys. 17

       Oznaczamy:

- lJ - odcinek ‘’drogi’’ kątowej między pierwszym a drugim kontaktem,

- d - odległość Jowisza od obserwatora,

- z prostej proporcji:

- z definicji miary łukowej:

ODP.

Odległość Jowisza od Słońca wynosi 5,203 [au].

W przedstawionym rozwiązaniu mamy klasyczny przykład stosowania przybliżeń:

- ruch Księżyca na sferze potraktowaliśmy jako ruch jednostajny, prostoliniowy,

- fragment sfery niebieskiej przybliżyliśmy trójkątem prostokątnym, jak w geometrii płaskiej,

- drogę środka Księżyca w czasie Δt = 56 [s] przybliżyliśmy łukiem i zastosowaliśmy definicję miary łukowej.

Czy i kiedy wolno nam tak postępować? Odpowiedź - na to proste z pozoru pytanie - jest jedną z trudniejszych - szczególnie w naukach empirycznych (tutaj fizyka i astronomia). Jednocześnie wiadomo z jaką niewiarygodną precyzją spotykamy się w astronomii (praktycznej i teoretycznej). Myślę, że taki był zamysł autora zadania; dyskusja na postawiony problem byłby interesująca w pracy z uczniami-członkami kółka astronomicznego.

 

 

Zadanie nr 18

Czy może dojść do całkowitego zakrycia Jowisza przez Wenus w sytuacji, gdy Wenus znajdzie się w maksymalnej elongacji? Odpowiedź uzasadnij rachunkiem. Załóż, że orbity planet są kołowe i leżą w jednej płaszczyźnie.

Jako dane liczbowe przyjmij:

  promień orbity [au] średnica równikowa [km]
Wenus 0,723 12 100
Ziemia 1,000 12 800
Jowisz 5,203 143 000

[LIX OA I ETAP]

Rys. 18

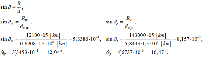
       - najpierw musimy ustalić odległości ZIEMIA-WENUS oraz ZIEMIA-JOWISZ w momencie zjawiska,

- rozmiary kątowe tarczy WENUS i JOWISZA,

- oznaczamy:

dW,Z - odległość Ziemia - Wenus w momencie obserwacji zjawiska, podobnie:

dW,J - odległość Ziemia - Jowisz,

dS,Z - odległość Słońce - Ziemia,
- w momencie maksymalnej elongacji Wenus:

ODP.

NIE, , średnica kątowa Jowisza jest większa niż średnica kątowa Wenus. Zauważmy, że możliwe są takie dwie konfiguracje: Wenus jest w maksymalnej elongacji wschodniej lub zachodniej.

Zwróćmy również uwagę no to, że nasze rozważania miały charakter czysto geometryczny, ale w rzeczywistości obserwacyjnej blask Wenus będzie dominował nad jasnością Jowisza; wielkość gwiazdowa Wenus w elongacji wynosi –4m4, a Jowisza waha się w granicach –2m3...–2m7 [9].

 

 

Zadanie nr 19

4 stycznia 2011 roku w Polsce było obserwowane częściowe zaćmienie Słońca. Podstawowe dane dotyczące tego zjawiska w Warszawie zawiera poniższa tabelka:
  Godzina (CSE) Wysokość Faza zaćmienia
Pierwszy kontakt 8:13 0,00
Maksymalna faza 9:36 10º 0,82
Ostatni kontakt 11:04 15º 0,00

Przyjmując, że średnice kątowe Słońca i Księżyca były równe oblicz, jaką część natężenia oświetlenia poza zaćmieniem stanowiło natężenie oświetlenia w momencie maksymalnej fazy (bez uwzględniania ekstynkcji).

Uwzględniając zjawisko ekstynkcji oraz przyjmując, że jasność obserwowana Słońca jest równa –26,8 magnitudo, a współczynnik ekstynkcji w zakresie widzialnym wynosi 0,2 magnitudo, oblicz jasność obserwowaną Słońca podczas maksymalnej fazy zjawiska.

[LIV OA II ETAP]

Nie wiadomo, co autor zadania miał na myśli podając maksymalną fazę zaćmienia, czy:
1 - wielkość fazy liniowej zaćmienia (kąt Słońce - Księżyc - Ziemia). Liniową fazę zaćmienia definiuje się też jako za-ciemniony ułamek średnicy tarczy ciała ulegającemu zaćmieniu , czy też:
2 - wielkość przesłoniętej powierzchni Słońca
[10].

- oznaczamy:

  S - środek tarczy Słońca,
  K - środek tarczy Księżyca,
  R - umowny promień tarczy Słońca i Księżyca,
  k - faza liniowa zaćmienia,

- wprowadzamy pomocniczy kąt:

Rys. 19

       1. faza liniowa:
- oświetlenie niezakrytej powierzchni Słońca:
gdzie   - pole odcinka kołowego 

- pole odcinka kołowego stanowi różnicę pola wycinka kołowego ABCSA ograniczonego ramionami kąta oraz pola trójkąta ograniczonego tymi ramionami i cięciwą,

- pole wycinka kołowego 

- pole odcinka 
- obszar poza zaćmieniem: 

- z wzoru fotometrycznego:

2. przesłanianie:

Ekstynkcja międzygwiazdowa – osłabienie blasku gwiazdy wskutek przejścia światła wysyłanego przez gwiazdę przez materię międzygwiazdową ew. atmosferę. Ekstynkcja powoduje zwiększenie wielkości gwiazdowej. Oznaczamy ją symbolem A i wyrażamy w magnitudo.

ODP.

Warto zwrócić uwagę na nieznaczną zmianę w jasności Słońca w obydwu przypadkach. Ciekawe: ubytek jasności Słońca - przy tej fazie zaćmienia - na ogół nie jest zauważalny dla astronoma-amatora. Proponuję przeprowadzić dyskusję dla k z <0,1>; łatwo wtedy uchwycimy różnicę pomiędzy płytką a głęboką fazą zaćmienia (zmiany jasności Słońca).

 

 

Zadanie nr 20

Rozpatrzmy takie zaćmienie Słońca, które zaczyna się dokładnie w momencie, gdy linia łącząca środki tarcz Słońca i Księżyca jest prostopadła do ekliptyki, czyli drogi Słońca na sferze. Jakie to będzie zaćmienie? Oceń jak długo ono trwa z punktu widzenia obserwatora geocentrycznego, w sytuacji, gdy Ziemia jest w średniej odległości od Słońca, a Księżyc w średniej odległości od Ziemi.

Uwaga: całe zjawisko zachodzi na niewielkim obszarze sfery niebieskiej i można je rozpatrywać tak, jakby przebiegało na płaszczyźnie, a wprowadzenie obserwatora geocentrycznego dopuszcza pominięcie wpływu obrotu Ziemi na czas zjawiska.

[XLVIII OA II ETAP]

Rys. 20

       - odległość Kątowa pomiędzy środkami ”średniego” Słońca i Księżyca:

z rys. 20:

i - kąt nachylenia orbity Księżyca do płaszczyzny ekliptyki,

T - miesiąc gwiazdowy:

ODP.

Czas trwania zjawiska - 10,2 [min.]

 

 

Zadanie nr 21

W dniu 26 czerwca 2010 roku nastąpi częściowe zaćmienie Księżyca. Podstawowe parametry tego zaćmienia są zamieszczone na załączonym schematycznym rysunku.

Dla obserwatora znajdującego się w geometrycznym środku widocznej z Ziemi tarczy Księżyca oblicz:

1) momenty początku i końca fazy całkowitości tego zjawiska,

2) przybliżone momenty wschodu i zachodu Słońca na Księżycu w miejscu obserwacji zjawiska.

W rozwiązaniu pomiń efekty związane z libracją Księżyca i ziemską atmosferą, a także przyjmij, że orbita Księżyca jest okręgiem o promieniu a = 384400 [km].

       W obliczeniach użyj następujących danych:

- promień Ziemi RZ = 6374 [km] ,
- promień Księżyca  rK = 1740 [km],
- promień Słońca RS = 696000 [km],
- odległość Ziemia-Słońce aZ = 149600000 [km],
- promień orbity Księżyca a = 384400 [km].

[LIII OA III ETAP]

AD 1

Rys. 21a

       - Najpierw zaćmienie całkowite centralne:

- długość cienia Ziemi:

- w średniej odległości Księżyca od Ziemi średnica jego cienia:

- prędkość orbitalna Księżyca:

Rys. 21b

       W chwili kontaktu U1 obserwator (środek tarczy Srebrnego Globu) znajduje się na zewnątrz cienia.
Księżyc musi jeszcze pokonać drogę równą swojemu promieniowi, co nastąpi w czasie:

ODP.

- Moment, w którym obserwator znajdzie się w cieniu opóźni się o t,

- obserwator opuszcza cień,

AD 2

Nie bardzo rozumiem intencje autora zadania; wschód i zachód Słońca dla obserwatora na Księżycu mają związek tylko z lokalnym horyzontem i są wywołane jego ruchem obrotowym Księżyca. Może się zdarzyć, że w czasie zachodu czy wschodu Słońca nastąpi jego zaćmienie, ale - generalnie - zjawiska przedstawione w p.1 i 2 nie mają z sobą nic wspólnego.
Spróbujmy odpowiedzieć; przyjmujemy:
- jeden obrót Księżyca wokół własnej osi trwa 27,32 doby, czyli dokładnie tyle samo, co jeden jego obieg dookoła Ziemi (obrót synchroniczny), zatem dzień na Księżycu trwa tyle, ile jego obieg wokół Ziemi,
- przyjmujemy ponadto, że obserwator znajduje się na równiku Księżyca (szerokość selenograficzna wynosi zero); wtedy kąt godzinny zachodu t = 6h, a wschodu - t = 18h,
- oś obrotu Księżyca nie zmienia swojego położenia (zaniedbujemy librację),
- szukane czasy zaczynamy liczyć od słonecznego południa prawdziwego w dniu 26 czerwca, godz. 12h0.

ODP.

Zachód  - 2 lipca godz. 20-ta

i symetrycznie wschód: 16 lipca godz. 4 - ta (czasu ziemskiego).

 

 

Zespół Przedmiotowy
Chemii-Fizyki-Informatyki

w I Liceum Ogólnokształcącym
im. Kazimierza Brodzińskiego
w Tarnowie
ul. Piłsudskiego 4
©2026 mgr Jerzy Wałaszek

Materiały tylko do użytku dydaktycznego. Ich kopiowanie i powielanie jest dozwolone pod warunkiem podania źródła oraz niepobierania za to pieniędzy.
Pytania proszę przesyłać na adres email: i-lo@eduinf.waw.pl
Serwis wykorzystuje pliki cookies. Jeśli nie chcesz ich otrzymywać, zablokuj je w swojej przeglądarce.

Informacje dodatkowe.