Serwis Edukacyjny
Nauczycieli
w I-LO w Tarnowie

Do strony głównej I LO w Tarnowie

Materiały dla uczniów liceum

  Wyjście       Spis treści       Wstecz       Dalej  

©2026 mgr Jerzy Wałaszek

obrazek

Mechanika ciał Układu Słonecznego

część pierwsza

Autor artykułu: mgr Tadeusz Sypek

 

 

Prawa

Keplera

Zadanie nr   8
Zadanie nr   9
Zadanie nr 10
Zadanie nr 11
Zadanie nr 12
Zadanie nr 13
Zadanie nr 14
Zadanie nr 15
Zadanie nr 16

 

Zadanie nr 8

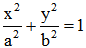
W wielu zagadnieniach związanych z ruchem ciała w centralnym polu grawitacyjnym wygodnie jest stosować równanie toru zapisane w układzie biegunowym. Wychodząc z równania elipsy we współrzędnych kartezjańskich:

Wyprowadź poniższe równanie elipsy zapisane we współrzędnych biegunowych, których początek umieszczony jest w jednym z ognisk elipsy:

Czym są wielkości: r, ϑ oraz p?

[XXX OA I ETAP]

Rys. 8

       - z definicji elipsy:

r - promień wodzący punktu P(x,y)

- mimośród elipsy:

ϑ - kąt pomiędzy promieniem wodzącym, a dodatnim kierunkiem osi X,

- trójkąt ΔF1PF2, twierdzenie kosinusów:

     podnosimy stronami do kwadratu,
  po przekształceniach
   
- parametr orbity

Przykład zastosowania:

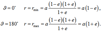
       Perycentrum  - najbliższy punkt orbity względem centralnego ciała. Gdy ciałem tym jest Ziemia, mówimy o perygeum  (punkt przyziemny), gdy jest to Słońce,- peryhelium (punkt przysłoneczny).

Podobnie apocentrum  - punkt orbity położony najdalej od ciała centralnego; apogeum, aphelium.

 

 

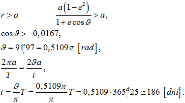
Zadanie nr 9

Wiedząc, że mimośród orbity Ziemi wynosi e = 0,0167, oblicz przez ile dni w roku odległość Ziemi od Słońca jest większa od jednostki astronomicznej.

[XXXV OA I ETAP]

Rys. 9

      

ODP.

Nieco ponad pół roku.

Posługując się podobnym rozumowaniem, myślę, że czytelnik bez trudu rozwiąże kolejne zadanie.

 

 

Zadanie nr 10

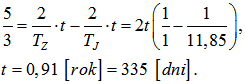
W 1979 roku zmniejszająca się odległość Plutona od Słońca osiągnęła wartość odległości Neptuna od Słońca. Przyjmując, że orbita Plutona jest elipsą o dużej półosi a = 39,5[au] i mimośrodzie e = 0,25 oraz, że orbita Neptuna jest kołem o promieniu r = 30[au], oszacuj, jak długo Neptun będzie peryferyjną planetą Układu Słonecznego.

[XXVI OA, I ETAP]

ODP.

około 14,1 lat, przy założeniu, że planety krążą w jednej płaszczyźnie, co jest grubym przybliżeniem.

Ostatni taka konfiguracja Neptun-Pluton miała miejsce 7 lutego 1979 i trwała do 11 lutego 1999, czyli ponad 20 lat. Wynik podany wyżej zakłada, że orbity Neptuna i Plutona przecinają się. W rzeczywistości orbita Plutona jest nachylona pod kątem 17° do ekliptyki. Wspomniane nachylenie oraz największy mimośród ze wszystkich planet były głównymi (ale nie jedynymi) przyczynami, że Pluton - dawniej uważany za dziewiątą planetę - dnia 24.08.2006 roku w trakcie konferencji Międzynarodowej Unii Astronomicznej w Pradze - został zdegradowany do miana planety karłowatej. Obecnie Pluton to najjaśniejszy obiekt pasa Kuipera.

 

 

Zadanie nr 11

W jakich granicach może się zmieniać maksymalna wysokość Merkurego nad horyzontem w Krakowie, w momencie zachodu Słońca w dniu, gdy planeta osiąga maksymalną elongację?
Potrzebne dane wyszukaj samodzielnie.

[XXXV OA I ETAP]

Rys. 11a

       Ziemia i Merkury krążą nie po okręgach, lecz elipsach i musi zajść specyficzne położenie obu planet, aby maksymalna wartość elongacji została osiągnięta.

Uwzględniając różnice w mimośrodach orbit Merkurego i Ziemi (eZ = 0,017 i eM = 0,21) do dalszych rozważań przyjmujemy kołową orbitę naszej planety:

Rys. 11b

  Musimy jeszcze uwzględnić nachylenie orbity Merkurego do płaszczyzny ekliptyki, które jest znaczne. Oznaczamy:

- φ = 50º - szerokość geograficzna Krakowa,

- h - wysokość Merkurego nad horyzontem Krakowa,

- ε = 23º,5 - nachylenie ekliptyki do równika niebieskiego,

- i = 7º - nachylenie płaszczyzny orbity Merkurego do płaszczyzny ekliptyki,

- korzystając z twierdzenia sinusów dla trójkąta sferycznego [7]:

ODP.

Wysokość Merkurego nad horyzontem Krakowa podczas zachodu Słońca:

 

 

Zadanie nr 12

Księżyc Saturna Phoebe - jeden z celów badań misji Cassini-Huygens - obiega macierzystą planetę po wydłużonej orbicie o mimośrodzie e = 0,164 w średniej odległości  a = 13·106[km].

W punkcie swojej orbity położonym najdalej od planety na niebie oglądanym z Saturna miałby jasność ok. 6m,8 w „pełni”. Czy będąc w najmniejszej odległości od planety byłby w "pełni" widoczny gołym okiem? Zakładamy, że Saturn obiega Słońce po okręgu o promieniu ao = 1427·106[km].

[XLVIII. I ETAP]

Zakładam, ze orbita Saturna jest okręgiem; oznaczam:
ao - odległość Saturna od Słońca,
a - średnia półoś orbity Phoebe,
e - mimośród orbity Phoebe,
a1 = (1 + e) - największa odległość Phoebe od Saturna w ”pełni”,
a2 = (1 – e) - najmniejsza odległość Phoebe od Saturna w ”pełni”.
L - „moc promieniowania” Phoebe (obite światło słoneczne, A - albedo) - całkowita energia wypromieniowana w jednostce czasu przez Słońce jest równoważna energii przechodzącej w tej samej jednostce przez powierzchnie kuli o środku w Słońcu o promieniu równym odległości Phoebe od Słońca. Uwzględniając powierzchnie czynną S Phoebe oraz albedo A:

Jeżeli natomiast przyjmiemy, że rozmiary orbity Phoebe są zaniedbywalnie małe w stosunku do rozmiarów orbity Saturna (stosunek ten wynosi 13/1427 = 0,009 czyli około 1%), rachunki znacznie się upraszczają:

ODP.

Wyniki nieznacznie odbiegają od siebie; obydwa rezultaty uważamy za poprawne [8].

 

 

Zadanie nr 13

Okres obiegu Merkurego wokół Słońca P = 88 dni, a okres obrotu wokół osi T = 59 [dni]. Orbita planety  jest elipsą o dużej półosi a = 0,39 [au] i mimośrodzie e = 0,21.
Jaka jest odległość Merkurego od Słońca, w momencie, gdy dla obserwatora znajdujące się na powierzchni planety Słońce zatrzymuje się względem horyzontu?
Przyjmij, że oś obrotu Merkurego jest prostopadła do jego orbity.

[XXVI OA III ETAP]

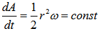
W równych odstępach czasu promień wodzący planety, poprowadzony od Słońca, zakreśla równe pola. Jest to równoznaczne ze stwierdzeniem, że prędkość polowa każdej planety jest stała. Opisuje to wyrażenie:

       Oznaczamy:
- T - okres obiegu Merkurego wokół Słońca,
- P - okres obrotu planety.

Słońce nieruchome w azymucie.

ODP.

r = 0,31 [au]

Zwróćmy uwagę na okresy obiegu i obrotu planety:

- doba na Marsie trwa 

- w punkcie przysłonecznym odległość Merkurego od Słońca:

Słońce w momencie przechodzenia Merkurego przez peryhelium tworzy pętlę retrogradacyjną  (ruch wsteczny - czas trwania kilkanaście dni ziemskich - ten trwa około 8 dni). W momencie przejścia Słońca przez południk zatrzyma się ono  (prędkość rotacji równa prędkości obiegu), a następnie zawróci (prędkość obiegu większa od prędkości rotacji), po czym znów się zatrzyma  (prędkość rotacji równa prędkości obiegu) i podąży ku zachodowi. Analogicznie podczas zachodu: Słońce chowa się pod horyzontem po czym wschodzi  (ale po zachodniej stronie nieba merkuriańskiego), by ostatecznie zniknąć pod widnokręgiem.

 

 

Zadanie nr 14

Planetoida typu NEO obiega Słońce po elipsie w tej samej płaszczyźnie, w tym samym kierunku i ż tym samym okresem co Ziemia. Mimośród obity planetoidy e = 0,6. W pewnym momencie planetoida była w opozycji i aphelium.

Jaka jest minimalna odległość tej planetoidy od Ziemi ? Podaj logiczne uzasadnienie przyjętej odpowiedzi oraz zaznacz na rysunku w skali 1 [au] = 6 [cm] położnie planetoidy i Ziemi w momencie, gdy odległość między nimi jest minimalna.
W rozwiązaniu pomiń oddziaływanie perturbacyjne i przyjmij, że orbita Ziemi jest okręgiem.

[L OA II ETAP]

Oś wielka orbity planetoidy jest równa promieniowi Ziemi 

Odległości planetoidy w aphelium i peryhelium:

Półoś mała planetoidy: 

Rys. 14

ODP.

Szukana odległość 

 

 

Zadanie nr 15

W 1992 r. opozycja Jowisza przypadnie 29 lutego. Przyjmując, że Jowisz obiega Słońce po okręgu o promieniu 5,2 [au] oblicz, w których dniach 1992 r. znajdą się w opozycji planetoidy z grupy trojańskiej.

[XXXV OA I ETAP]

Planetoidy należące do „obozu greckiego” wyprzedzają Jowisza w jego ruchu orbitalnym, poruszając się wokół punktu libracji L4, znajdującego się na orbicie 60° przed planetą, a te należące do „obozu trojańskiego” podążają za planetą, wo-kół punktu L5, znajdującego się na orbicie 60° za Jowiszem.

 
Rys. 15

       - oznaczamy: J, S, Z, T - odpowiednio Jowisz, Słońce, Ziemia i Trojańczycy,

- indeksy 1, 2 – początkowe i końcowe położenie obiektów,

- wyznaczamy okres obiegu Jowisza z III prawa Keplera:

- ruch Jowisza: 
- ruch Ziemi:

ODP.

29 stycznia 2013
Nie tylko układ Słońce-Jowisz ma ”trojańczyków”;
Ziemia ma - 1 trojańczyka, Mars - 4, Jowisz – 6311,
Uran – 1, Neptun – 17 (stan 6 sierpnia 2015).

 

 

 

Zadanie nr 16

W 2000 roku nastąpiła koniunkcja Jowisza z Saturnem. W załączonej tabelce podano, dla trzech momentów, heliocentryczne długości ekliptyczne obu planet:

 

  DATA (0hUT)     JOWISZ     SATURN  
5. 06. 2000 50°3973 51°3525
25. 06. 2000 52°1991 52°0907
15. 07. 2000 53°9986 53°8195

Dla obserwatora heliocentrycznego, wyznacz datę tej koniunkcji oraz podaj nazwę znaku zodiaku, w którym miała ona miejsce.

Zakładając, że planety te obiegają Słońce po okręgach o promieniach odpowiednio: aJ = 5,203[au] i aS = 5,203[au], oblicz kiedy należy spodziewać się kolejnego heliocentrycznego złączenia tych planet i w jakim znaku zodiaku to nastąpi.

[LIV OA II ETAP]

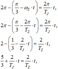
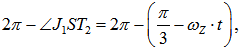
1. wyznaczamy datę koniunkcji

Przyjmujemy, że zmiany długości ekliptycznej planet są liniowe:

W momencie koniunkcji aJ = aS. Wyznaczamy t:

Koniunkcja nastąpi 8 lipca 2000 roku, planety znajdują się w gwiazdozbiorze RAKA.

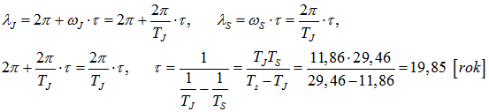
2. następna koniunkcja:

Z III prawa Keplera:

Stosując rozumowanie jak w zad 4:

ODP.

Następna koniunkcja będzie miała miejsce 19,85 (19 lat 306 dni) później, tj. w połowie maja 2020 roku; planety będą się wówczas znajdować się w gwiazdozbiorze BYKA.

 

 

Zespół Przedmiotowy
Chemii-Fizyki-Informatyki

w I Liceum Ogólnokształcącym
im. Kazimierza Brodzińskiego
w Tarnowie
ul. Piłsudskiego 4
©2026 mgr Jerzy Wałaszek

Materiały tylko do użytku dydaktycznego. Ich kopiowanie i powielanie jest dozwolone pod warunkiem podania źródła oraz niepobierania za to pieniędzy.
Pytania proszę przesyłać na adres email: i-lo@eduinf.waw.pl
Serwis wykorzystuje pliki cookies. Jeśli nie chcesz ich otrzymywać, zablokuj je w swojej przeglądarce.

Informacje dodatkowe.