Potencjał grawitacyjny

obrazek

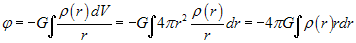
po uwzględnieniu wzorów (4):

(4)

a) b) c)
obrazek  obrazek obrazek

 z dokładnością do stałej (potencjał niecechowany) otrzymujemy:

(5)

a) b) c)
obrazek  obrazek obrazek

Przykłady prostych potencjałów na zewnątrz jednorodnej kuli (2a) i sfery możemy spotkać w [8]. Są one takie same jak dla masy punktowej i nie będziemy się w tej pracy nimi zajmować. Wyznaczanie potencjałów o bardziej skomplikowanej strukturze matematycznej (np. wzory (5)) wymaga już znajomości rachunku całkowego i leży poza możliwościami ucznia szkoły średniej.

Wykresy potencjałów - program komputerowy

Poniższy program pozwala w sposób numeryczny obliczać potencjały i jednocześnie uzyskać ich trójwymiarową reprezentację graficzną. Program jest napisany w darmowo dostępnym języku FreeBasic. Język ten został wybrany ze względu na prostotę operacji graficznych oraz osobiste preferencje autora.

' STUDNIA POTENCJAŁU GRAWITACYJNEGO
'----------------------------------
'(C)2007 mgr Tadeusz Sypek

PUBLIC FUNCTION f(BYVAL r AS DOUBLE) AS DOUBLE
  RETURN -r * r + 33
END FUNCTION

CLS: SCREEN 9: WINDOW (-320, 175)-(319, -174)

' USTALANIE DOLNEGO HORYZONTU

DIM min(629) AS DOUBLE
DIM AS INTEGER a, b
DIM AS DOUBLE r, pot, x, y, dr

FOR a = 1 TO 629
  min(a) = -50 * SIN((a - 1) / 100)
NEXT

dr = 0.01

FOR r = 1 TO .01 STEP -dr
   pot -= f(r) * r * dr
  FOR a = 1 TO 629 STEP 20
    x = -150 * r * COS((a - 1) / 100)
    y =  -50 * r * SIN((a - 1) / 100) + 10 * pot

' PRZESŁANIANIE

    IF a < 314 THEN PSET (x, y)
    IF y >= -min(a) AND a > 314 THEN PSET (x, y)
    IF 100 * r MOD 10 = 0 THEN
      FOR b = 1 TO 629
        x = -150 * r * COS((b - 1) / 100)
        y = - 50 * r * SIN((b - 1)/ 100) + 10 * pot
        IF b < 315 THEN PSET (x, y)
        IF y >= -min(b) AND b > 315 THEN PSET (x, y) 
      NEXT
    END IF
  NEXT
NEXT

SLEEP

END

  

Komentarz do programu

PUBLIC FUNCTION f(BYVAL r AS DOUBLE) AS DOUBLE
  RETURN -r * r + 33
END FUNCTION
Funkcja f wyznacza wartości funkcji gęstości, dla której pragniemy uzyskać przestrzenny wykres potencjału.
FOR a = 1 TO 629
  min(a) = -50 * SIN((a - 1) / 100)
NEXT
W celu przyspieszenia obliczeń wypełniamy tablicę min() wartościami funkcji sinus z przedziału 0 do 2π, wymnożonymi przez -50.
dr = 0.01

FOR r = 1 TO .01 STEP -dr
  pot -= f(r) * r * dr
  FOR a = 1 TO 629 STEP 20
    x = -150 * r * COS((a - 1) / 100)
    y =  -50 * r * SIN((a - 1) / 100) + 10 * pot
w pierwszej pętli obliczamy wartości dla dolnego horyzontu, który jest wykorzystywany do tworzenia linii przesłaniania,
w drugiej pętli liczone są wartości potencjału w funkcji odległości od środka ruchu,
    IF a < 314 THEN PSET (x, y)
    IF y >= -min(a) AND a > 314 THEN PSET (x, y)
    IF 100 * r MOD 10 = 0 THEN
      FOR b = 1 TO 629
        x = -150 * r * COS((b - 1) / 100)
        y = - 50 * r * SIN((b - 1)/ 100) + 10 * pot
        IF b < 315 THEN PSET (x, y)
        IF y >= -min(b) AND b > 315 THEN PSET (x, y) 
      NEXT
    END IF
  NEXT
NEXT
instrukcje warunkowe pozwalające kreślić linie równoleżnikowe i południkowe (głębne).

 

Zwróćmy uwagę, że linie równoleżnikowe są liniami ekwipotencjalnymi.


Ryc.3 a, b, c przedstawiają wyniki działania programu dla rozkładów gęstości określonych wzorami (4a, b, c).

Rys.3
a) b) c)
obrazek  obrazek obrazek
obrazek obrazek obrazek

Wykresy przestrzenne potencjałów mają kształt charakterystycznych tworów, które nazywamy jamami lub studniami potencjału. Dokładniej: jama (studnia) potencjału to ograniczony obszar przestrzeni, w którym energia potencjalna punktu materialnego (cząstki) przyjmuje wartość mniejszą (w mechanice klasycznej i kwantowej) niż w otoczeniu tego obszaru. Podstawową własnością jamy potencjału jest zdolność do zatrzymywania w niej cząstki o energii mniejszej od energii potencjalnej brzegu jamy. W takim stanie, cząstka porusza się tylko wewnątrz jamy potencjału, czyli pozostaje w ograniczonym obszarze przestrzeni. W mechanice klasycznej jama potencjału ma zawsze skończone rozmiary i cząstka w ogóle nie może przeniknąć poza granice tego obszaru.

Wielkości charakteryzujące jamę (studnię) potencjału:

- głębokość jamy; cechuje intensywność oddziaływania,
- szerokość; określa zasięg oddziaływania [9].

Użytkownik również sam może zaproponować inne rozkłady gęstości przestrzennej materii wewnątrz kuli, które go interesują. Może to być także swoistą formą zabawy fizyczno-intelektualnej. Rys. 4a-d przedstawiają - zdaniem autora - takie ciekawe przypadki:

Rys.4
a) b)
obrazek  obrazek
obrazek obrazek

 

 

c) d)
obrazek obrazek
obrazek obrazek

Już pobieżna analiza ryc. 3 i 4 pokazuje, że niektóre studnie potencjału nie mają dna. Matematycy kwitują to krótko: wartość r = 0 nie należy do dziedziny funkcji V(r), albo: funkcja V(r) nie jest określona dla r = 0. Fizyk natomiast mówi o osobliwości w tym punkcie i opisuje lub stara się opisać naturę fizyczną tego fragmentu przestrzeni, o ile oczywiście pozwala na to aktualny stan wiedzy.

 


   I Liceum Ogólnokształcące   
im. Kazimierza Brodzińskiego
w Tarnowie

©2026 mgr Jerzy Wałaszek

Dokument ten rozpowszechniany jest zgodnie z zasadami licencji
GNU Free Documentation License.

Pytania proszę przesyłać na adres email: i-lo@eduinf.waw.pl

W artykułach serwisu są używane cookies. Jeśli nie chcesz ich otrzymywać,
zablokuj je w swojej przeglądarce.
Informacje dodatkowe